Posledná aktualizácia :
27/04/2026
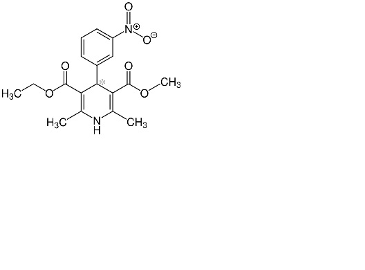
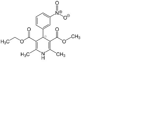
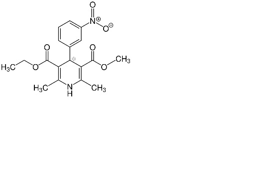
antihypertenzívum   Nitrendipine  
Perorálny roztok
Stabilita farmaceutických prípravkov Stabilita v zmesiach Faktory ovplyvňujúce stabilitu Kompatibility Odkazy na literatúru PDF
   Chemický vzorec  

Perorálny roztok
Odkazy na literatúru   Perorálny roztok   Odkazy na literatúru : Nitrendipine  
Typ Publikácia
4087 Časopis Bellay R, Bonnaure A.C, Rault P, Pertuisel S, Lester M.A, Boivin P.N.
Stability of 5 mg/mL Nitrendipine Oral Suspension in SyrSpend® SF PH4.
Pharmaceutical Technology in Hospital Pharmacy 2018 ;3,1:31-37

  Mentions Légales