Letztes “update” :
27/04/2026
Antihypertonikum   Nitrendipine  
Lösung zum Einnehmen
Stabilität von pharmazeutischen Präparaten Gemengestabilität Stabilitätbeeinflussende Faktoren Kompatibilitäten Literaturverzeichnis pdf
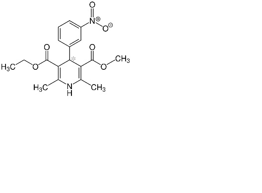
   Chemische Struktur  

Lösung zum Einnehmen
Literaturverzeichnis   Lösung zum Einnehmen   Literaturverzeichnis : Nitrendipine  
Typ Veröffentlichung
4087 Zeitung Bellay R, Bonnaure A.C, Rault P, Pertuisel S, Lester M.A, Boivin P.N.
Stability of 5 mg/mL Nitrendipine Oral Suspension in SyrSpend® SF PH4.
Pharmaceutical Technology in Hospital Pharmacy 2018 ;3,1:31-37

  Mentions Légales