Poslední aktualizace :
27/04/2026
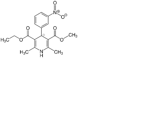
Antihypertenzivum   Nitrendipine  
Perorální roztok
Stabilita farmaceutických přípravků Stabilita směsí Faktory ovlivňující stabilitu Kompatibilita Odkazy pdf
   Chemický vzorec  

Perorální roztok
Odkazy   Perorální roztok   Odkazy : Nitrendipine  
typ uveřejnění
4087 noviny Bellay R, Bonnaure A.C, Rault P, Pertuisel S, Lester M.A, Boivin P.N.
Stability of 5 mg/mL Nitrendipine Oral Suspension in SyrSpend® SF PH4.
Pharmaceutical Technology in Hospital Pharmacy 2018 ;3,1:31-37

  Mentions Légales