Siste oppdatering :
27/04/2026
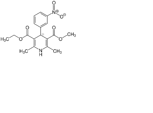
Antihypertensiva   Nitrendipine  
Mikstur
Stabilitet av farmasøytiske preparater Stabilitet i blandinger Faktorer som påvirker stabiliteten Kompatibilitet Referanser pdf
   Kjemisk struktur  

Mikstur
Referanser   Mikstur   Referanser : Nitrendipine  
Type publikasjon
4087 Journal Bellay R, Bonnaure A.C, Rault P, Pertuisel S, Lester M.A, Boivin P.N.
Stability of 5 mg/mL Nitrendipine Oral Suspension in SyrSpend® SF PH4.
Pharmaceutical Technology in Hospital Pharmacy 2018 ;3,1:31-37

  Mentions Légales