Poslední aktualizace :
27/04/2026
Hipotenzinis vaistas   Nitrendipine  
Geriamas tirpalas
Stabilumas farmacinių preparatų Mišinių stabilumas Stabilumą lemiantys veiksniai Suderinamumas Bibliografija pdf
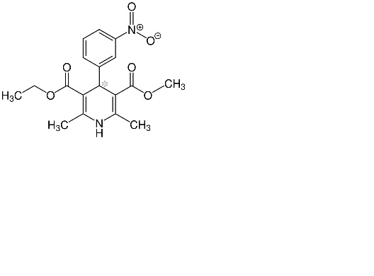
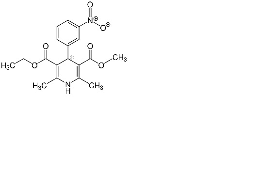
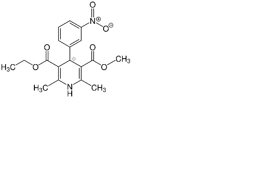
   Cheminė sandara  

Geriamas tirpalas
Bibliografija   Geriamas tirpalas   Bibliografija : Nitrendipine  
tipas leidinys
4087 Žurnalas Bellay R, Bonnaure A.C, Rault P, Pertuisel S, Lester M.A, Boivin P.N.
Stability of 5 mg/mL Nitrendipine Oral Suspension in SyrSpend® SF PH4.
Pharmaceutical Technology in Hospital Pharmacy 2018 ;3,1:31-37

  Mentions Légales