Останнє оновлення :
27/04/2026
протиепілептичний   Topiramate  
Розчин для перорального застосування
Стабільність фармацевтичних препаратів Стійкість сумішей Фактори, що впливають на стабільність Сумісність Список літератури pdf
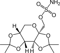
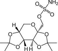
   Хімічна структура  

Розчин для перорального застосування
Список літератури   Розчин для перорального застосування   Список літератури : Topiramate  
Тип Публікація
3999 журнал De Oliveira Ferreira, Polonini H, Loures da Silva S, Buzinari Aglio N.C, Abreu J, Fernandes Brand?o M.A.
Stability of Acetazolamide, Baclofen, Dipyridamole, Mebeverine Hydrochloride, Propylthiouracil, Quinidine Sulfate, and Topiramate Oral Suspensions in SyrSpend SF PH4.
Int J Pharm Compound 2017 ; 21:4 :339-346

  Mentions Légales