آخر تحديث :
27/04/2026
المضادة للصرع   Topiramate  
عن طريق الفم
استقرار المستحضرات الصيدلانية استقرار مخاليط العوامل التي تؤثر على الاستقرار التوافق مراجع pdf
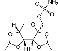
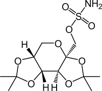
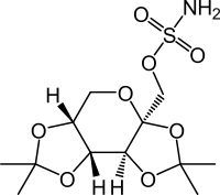
   التركيب الكيميائي  

عن طريق الفم
مراجع   عن طريق الفم     مراجع : Topiramate  
نوع منشور
3999 مجلة De Oliveira Ferreira, Polonini H, Loures da Silva S, Buzinari Aglio N.C, Abreu J, Fernandes Brand?o M.A.
Stability of Acetazolamide, Baclofen, Dipyridamole, Mebeverine Hydrochloride, Propylthiouracil, Quinidine Sulfate, and Topiramate Oral Suspensions in SyrSpend SF PH4.
Int J Pharm Compound 2017 ; 21:4 :339-346

  Mentions Légales