Laatste update :
27/04/2026
Anti-epilepticum   Topiramate  
Orale Oplossing
Stabiliteit van farmaceutische preparaten Stabiliteit in mengsels Factoren die de stabiliteit beïnvloeden Verenigbaarheden Literatuur pdf
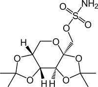
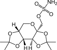
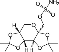
   Molecuulstructuur  

Orale Oplossing
Literatuur   Orale Oplossing   Literatuur : Topiramate  
type publicatie
3999 Artikel De Oliveira Ferreira, Polonini H, Loures da Silva S, Buzinari Aglio N.C, Abreu J, Fernandes Brand?o M.A.
Stability of Acetazolamide, Baclofen, Dipyridamole, Mebeverine Hydrochloride, Propylthiouracil, Quinidine Sulfate, and Topiramate Oral Suspensions in SyrSpend SF PH4.
Int J Pharm Compound 2017 ; 21:4 :339-346

  Mentions Légales