最新更新 :
27/04/2026
様々なもの   Baclofen  
軟膏薬
注射薬 経口液
調剤時の安定性 混合時の安定性 安定性に影響する因子 互換性 引用文献 PDF
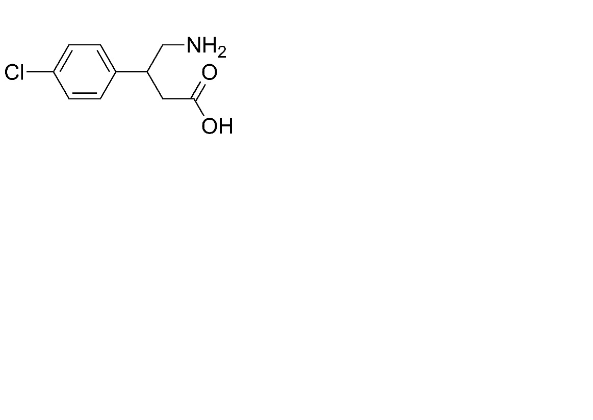
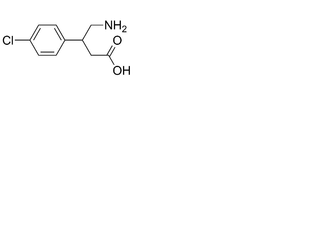
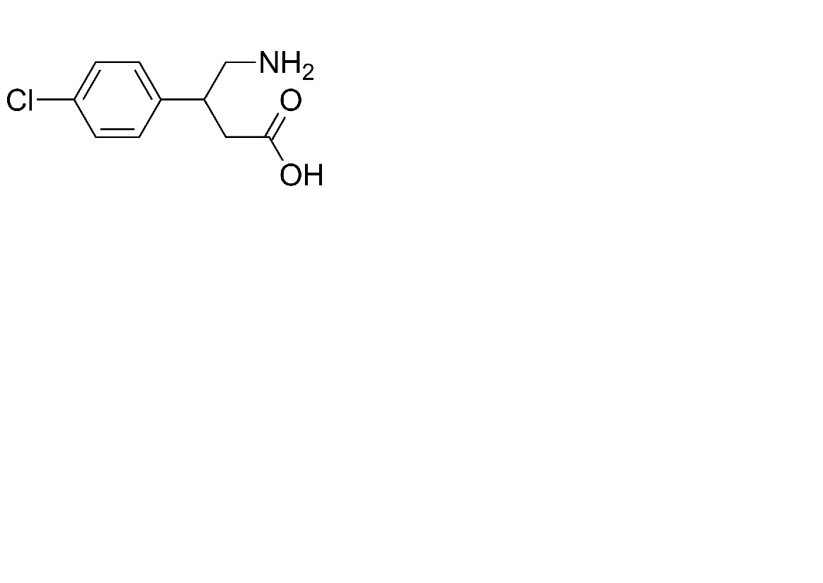
   化学構造  

軟膏薬
調剤時の安定性   軟膏薬   調剤時の安定性 : Baclofen     
データなし

  Mentions Légales