آخر تحديث :
05/12/2025
مختلف   Baclofen  
المراهم
حقن عن طريق الفم
استقرار المستحضرات الصيدلانية استقرار مخاليط العوامل التي تؤثر على الاستقرار التوافق مراجع pdf
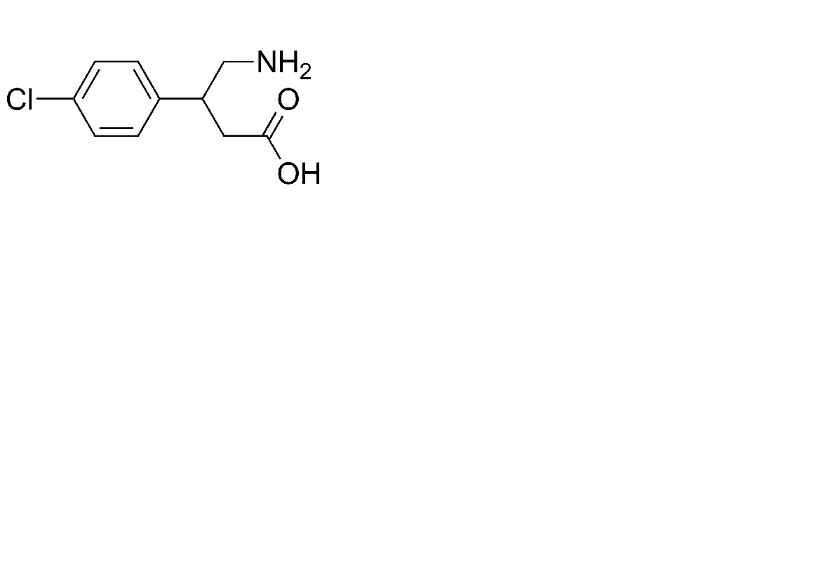
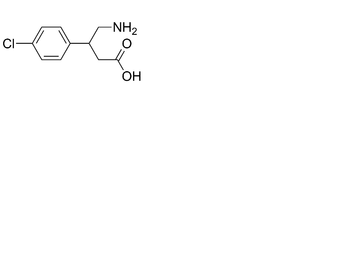
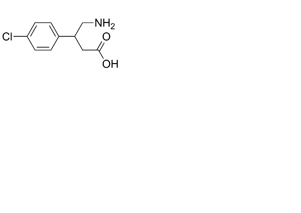
   التركيب الكيميائي  

المراهم
استقرار المستحضرات الصيدلانية   المراهم   استقرار المستحضرات الصيدلانية : Baclofen     
لا توجد بيانات

  Mentions Légales