Utolsó frissítés :
27/04/2026
Különféle   Baclofen  
kenőcs
belsőleges oldat Injekció
Stabilitása gyógyszerészeti készítmények A keverékek stabilitása Stabilitást befolyásoló tényezők Kompatibilitás Irodalom pdf
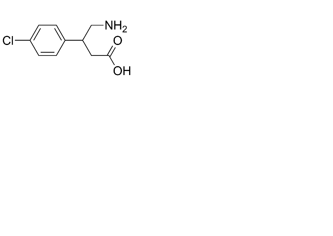
   Kémiai szerkezet   

kenőcs
Stabilitása gyógyszerészeti készítmények   kenőcs   Stabilitása gyógyszerészeti készítmények : Baclofen     
Hiányzó adat

  Mentions Légales