Cập nhật lần cuối :
27/04/2026
Khác   Indocyanine green  
Dạng tiêm
Tính ổn định của các dung dịch Độ ổn định khi trộn lẫn Những yếu tố ảnh hưởng đến độ ổn định Khả năng tương thích Đường dùng Tài liệu tham khảo Pdf
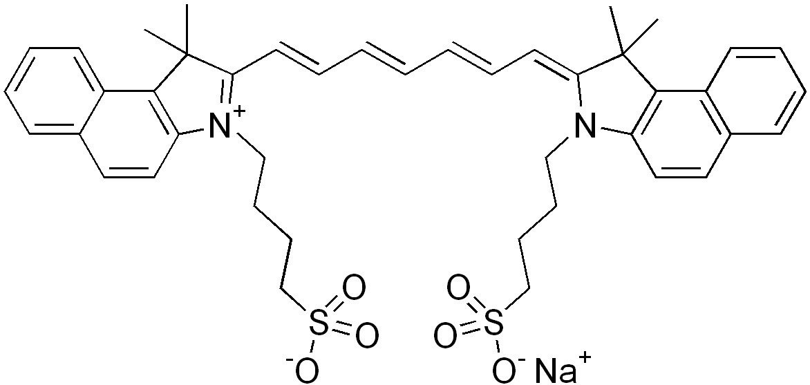
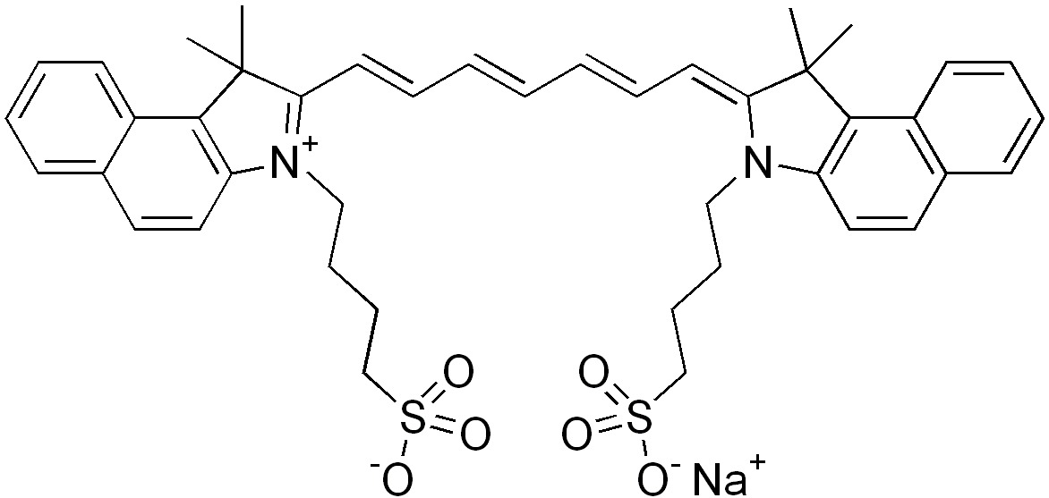
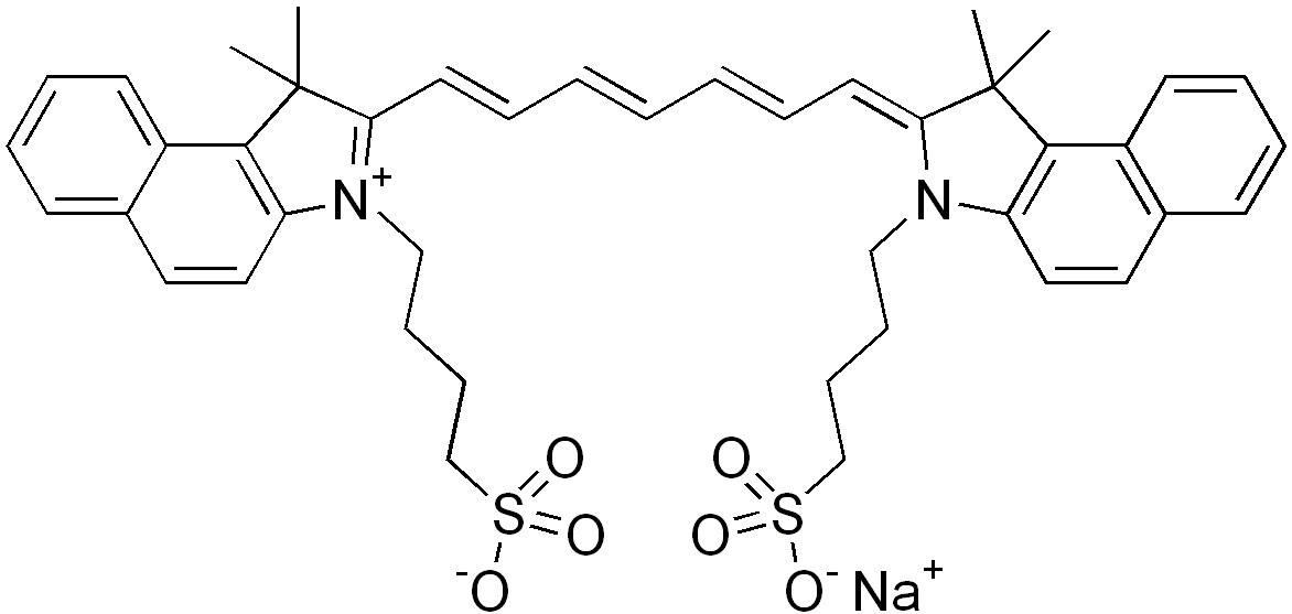
   Cấu trúc hóa học  

Tên thương mại   Tên thương mại     

Các tên thương mại được cung cấp và thành phần tá dược có thể khác nhau giữa các quốc gia và các hãng dược

Infracyanine Pháp
Verdye Bỉ, Hungary, Ireland, Romania, Tây Ban Nha, Thụy Điển, Ý, Đức
Độ ổn định khi trộn lẫn   Dạng tiêm   Độ ổn định khi trộn lẫn : Indocyanine green     
Không có dữ liệu

  Mentions Légales