آخر تحديث :
27/04/2026
مختلف   Indocyanine green  
حقن
الاستقرار في حلول استقرار مخاليط العوامل التي تؤثر على الاستقرار التوافق طريقة التعاطي مراجع pdf
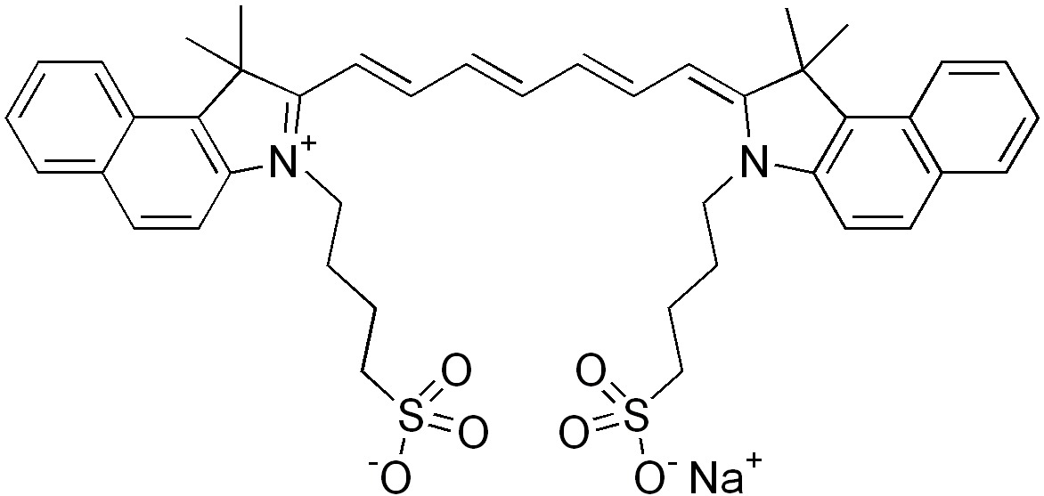
   التركيب الكيميائي  

حجز الاسم التجاري   حجز الاسم التجاري     

تحذير الأسماء التجاريه المختلفه قد تحتوي علي محتوي إضافات مختلفة حسب الدوله و المعمل

Infracyanine فرنسا
Verdye ألمانيا, إسبانيا, إيطاليا, السويد, ايرلندا, بلجيكا, رومانيا, هنغاريا
استقرار مخاليط   حقن   استقرار مخاليط : Indocyanine green     
لا توجد بيانات

  Mentions Légales