Ultimo aggiornamento :
27/04/2026
Altro   Indocyanine green  
Iniezione
Stabilità in soluzione Stabilità in miscela Fattori che influenzano la stabilità Compatibilità metodo di iniezione Bibliografia pdf
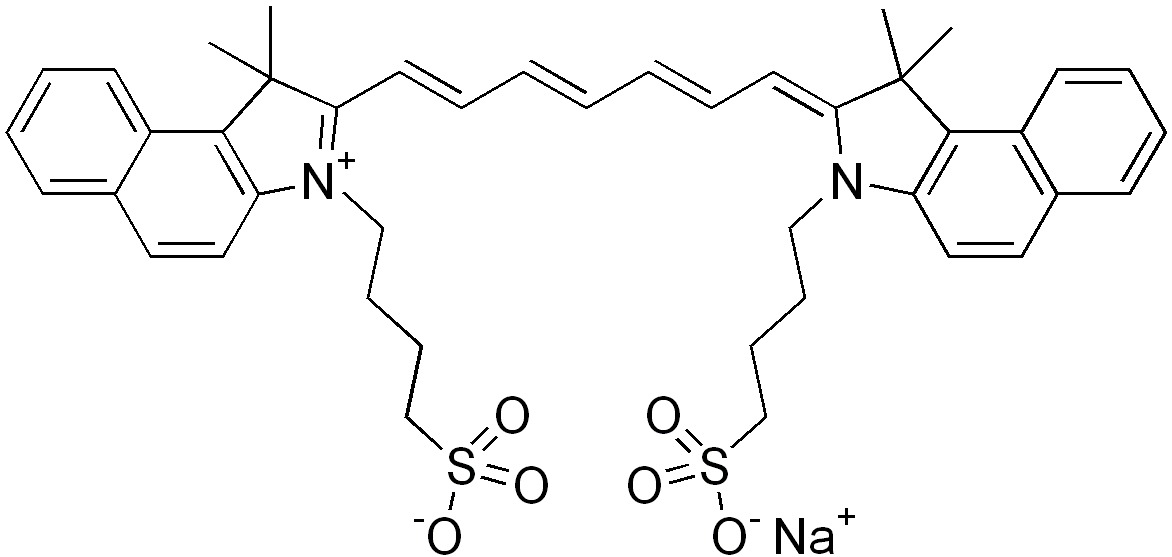
   Struttura chimica  

Nome commerciale   Nome commerciale     

Trade names are indicative and excipients composition can be different depending on the country and manufacturers

Infracyanine Francia
Verdye Belgio, Germania, Irlanda, Italia, Romania, Spagna, Svezia, Ungheria
Stabilità in miscela   Iniezione   Stabilità in miscela : Indocyanine green     
Assenza di dati

  Mentions Légales