Senaste uppdateringen :
27/04/2026
Diverse   Indocyanine green  
injektion
Lösningars stabilitet Stabilitet i blandningar Faktorer som påverkar stabiliteten Kompatibilitet Administreringssätt Hänvisningar pdf
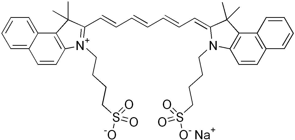
   Molekylstruktur  

Varunamn   Varunamn     

Angivna handelsnamn på läkemedel är enbart vägledande då formulering inklusive hjälpämnen kan variera mellan länder och tillverkare

Infracyanine Frankrike
Verdye Belgien, Irland, Italien, Rumänien, Spanien, Sverige, Tyskland, Ungern
Stabilitet i blandningar   injektion   Stabilitet i blandningar : Indocyanine green     
Ingen uppgift

  Mentions Légales