Cập nhật lần cuối :
27/01/2026
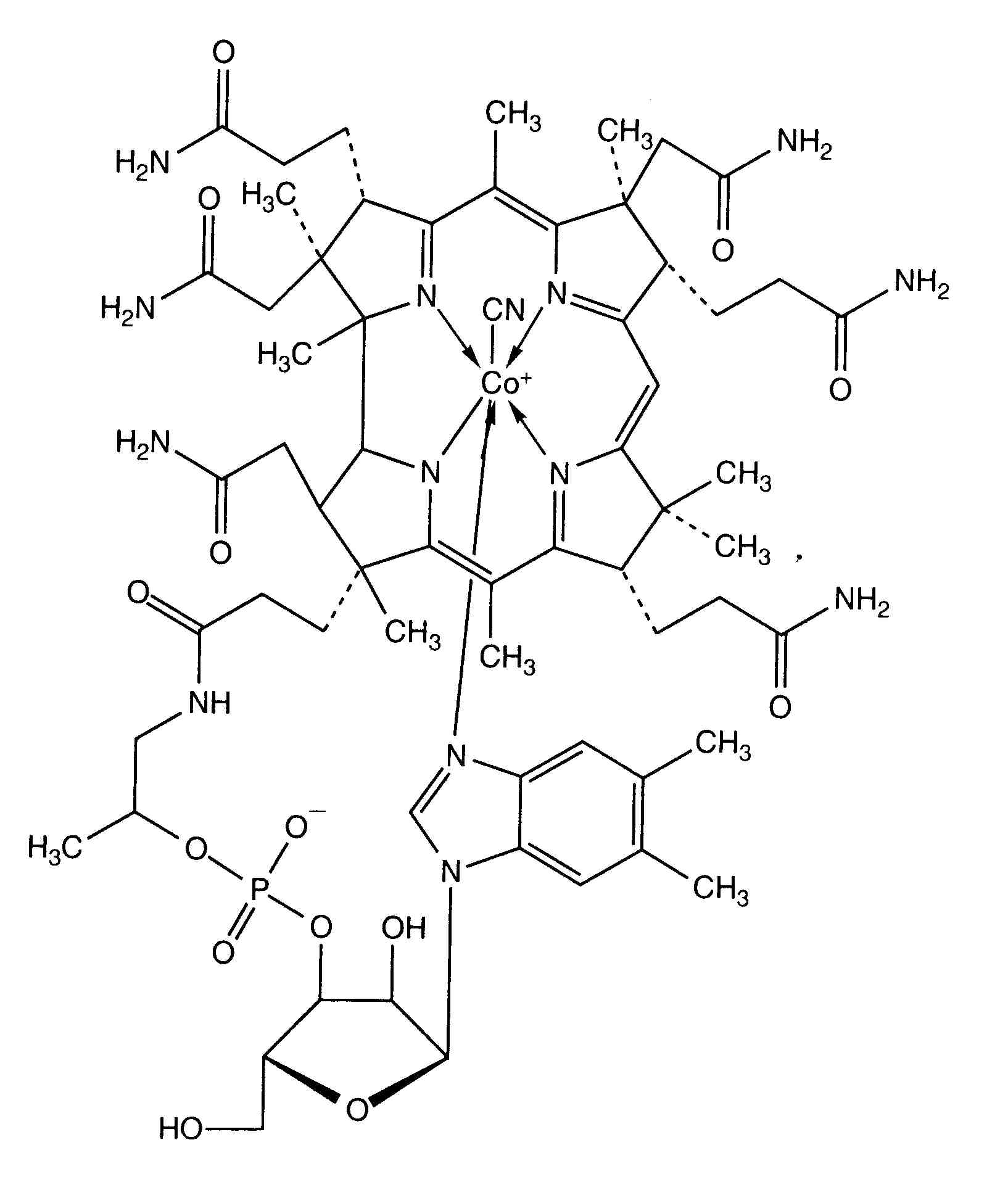
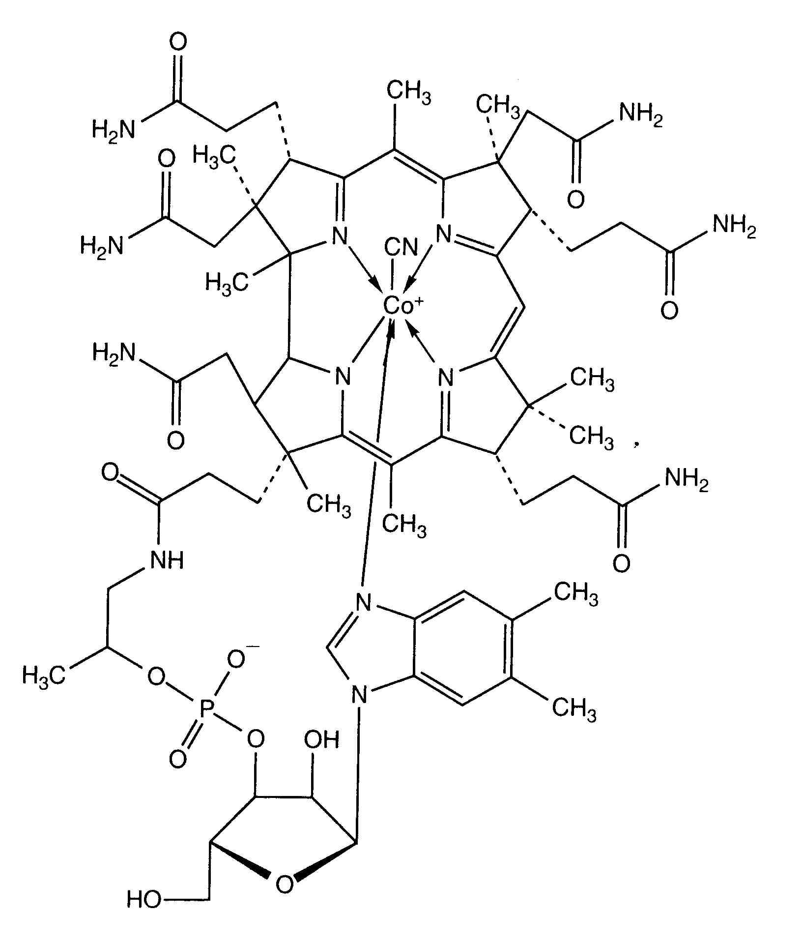
Vitamin   Cyanocobalamine  
Dạng tiêm
Tính ổn định của các dung dịch Độ ổn định khi trộn lẫn Những yếu tố ảnh hưởng đến độ ổn định Khả năng tương thích Đường dùng Tài liệu tham khảo Pdf
   Cấu trúc hóa học  

Tên thương mại   Tên thương mại     

Các tên thương mại được cung cấp và thành phần tá dược có thể khác nhau giữa các quốc gia và các hãng dược

Ambe 12 Đức
Ambene B Đức
B12 Ankermann Đức
B12 Asmedic Đức
B12 for injection Canada, Đức
B12 Vicotrat Đức
Beto 12 Ả Rập
Betolvex Ả Rập, Ả Rập Saudi, Na Uy, Phần Lan, Thụy Sỹ, Thụy Điển, United Arab Emirates, Đan Mạch
Bitavion Iran
Cianocobalamina Chile, Colombia, Ecuador, Venezuela
Cidulvex Ả Rập
Citon Ấn Độ
Cobal Malaysia
Cobex Canada
Cozamon Venezuela
Cromatonbic B12 Tây Ban Nha
Cyanocobalamin Ả Rập, Hoa Kỳ, Malaysia, new zealand
Cyanocobalamine Malaysia, Pháp
Cyanvit Iran
Cynovit Ả Rập Saudi, United Arab Emirates
Cytamen Anh, Ireland, Úc
Cytobion Ả Rập Saudi, Đức
Dobetin Ý
Dodex Thổ Nhĩ Kỳ
Droxofor Venezuela
Duradoce Mexico
Emicobal Ả Rập
Hamo Vilobex Đức
Hidro Doce 5000 Venezuela
Ibedox Venezuela
L Vit 12 Ấn Độ
Lifaton B12 Tây Ban Nha
Lophakomp B12 Đức
Optovite B12 Tây Ban Nha
Osve Vitamin B12 Iran
Permadoze Bồ Đào Nha
Reedvit Argentina
Reiculoger Ecuador, Tây Ban Nha
Rowo Vitamin B12 Đức
Rubivamin Ả Rập, Hoa Kỳ
Vibalmin Iran
Vicapan Đức
Viplex B12 Thổ Nhĩ Kỳ
Vitakobal Thổ Nhĩ Kỳ
Vitamina B12 Áo, Bỉ, Canada, Colombia, Ecuador, Iran, Malaysia, Morocco, Na Uy, Romania, Thụy Sỹ, Tunisia, United Arab Emirates, Venezuela, Đức
Vitaminum B12 Ba Lan
Vitarubine Thụy Sỹ
Độ ổn định khi trộn lẫn   Dạng tiêm   Độ ổn định khi trộn lẫn : Cyanocobalamine     
Bao bì Dung môi Nồng độ Phân tử Nhiệt độ Bảo quản Thời gian ổn định Mục lục
Thủy tinh Không 1.25 mg/ml
Dạng tiêm   Cyanocobalamine   
Dạng tiêm   Thiocolchicoside 1 mg/ml
25°C
3 Giờ
1859
Cấp độ bằng chứng C

  Mentions Légales