آخر تحديث :
27/01/2026
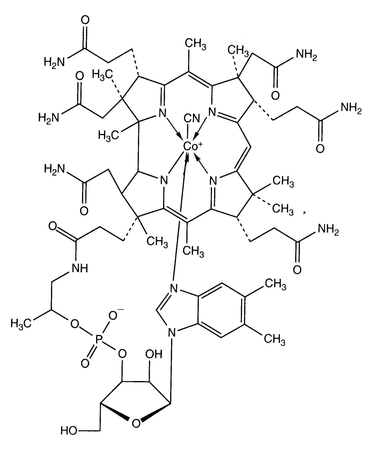
فيتامين   Cyanocobalamine  
حقن
الاستقرار في حلول استقرار مخاليط العوامل التي تؤثر على الاستقرار التوافق طريقة التعاطي مراجع pdf
   التركيب الكيميائي  

حجز الاسم التجاري   حجز الاسم التجاري     

تحذير الأسماء التجاريه المختلفه قد تحتوي علي محتوي إضافات مختلفة حسب الدوله و المعمل

Ambe 12 ألمانيا
Ambene B ألمانيا
B12 Ankermann ألمانيا
B12 Asmedic ألمانيا
B12 for injection ألمانيا, كندا
B12 Vicotrat ألمانيا
Beto 12 مصر
Betolvex الإمارات العربية المتحدة, الدنمارك, السويد, العربية السعودية, النرويج, سويسرا, فنلندا, مصر
Bitavion إيران
Cianocobalamina الإكوادور, تشيلي, فنزويلا, كولومبيا
Cidulvex مصر
Citon الهند
Cobal ماليزيا
Cobex كندا
Cozamon فنزويلا
Cromatonbic B12 إسبانيا
Cyanocobalamin الولايات المتحدة, زيلاندا الجديدة, ماليزيا, مصر
Cyanocobalamine فرنسا, ماليزيا
Cyanvit إيران
Cynovit الإمارات العربية المتحدة, العربية السعودية
Cytamen أستراليا, ايرلندا, بريطانيا العظمي
Cytobion ألمانيا, العربية السعودية
Dobetin إيطاليا
Dodex تركيا
Droxofor فنزويلا
Duradoce المكسيك
Emicobal مصر
Hamo Vilobex ألمانيا
Hidro Doce 5000 فنزويلا
Ibedox فنزويلا
L Vit 12 الهند
Lifaton B12 إسبانيا
Lophakomp B12 ألمانيا
Optovite B12 إسبانيا
Osve Vitamin B12 إيران
Permadoze البرتغال
Reedvit الأرجنتين
Reiculoger إسبانيا, الإكوادور
Rowo Vitamin B12 ألمانيا
Rubivamin الولايات المتحدة, مصر
Vibalmin إيران
Vicapan ألمانيا
Viplex B12 تركيا
Vitakobal تركيا
Vitamina B12 ألمانيا, إيران, الإكوادور, الإمارات العربية المتحدة, المغرب, النرويج, النمسا, بلجيكا, تونس, رومانيا, سويسرا, فنزويلا, كندا, كولومبيا, ماليزيا
Vitaminum B12 بولندا
Vitarubine سويسرا
استقرار مخاليط   حقن   استقرار مخاليط : Cyanocobalamine     
حاوية مذيب تركيز مركب درجة الحرارة تخزين مدة الاستقرار مراجع
زجاج لا شيء 1.25 mg/ml
حقن   Cyanocobalamine   
حقن   Thiocolchicoside 1 mg/ml
25°C
3 ساعة
1859
C مستوى الأدلة

  Mentions Légales