viimane versioon :
27/01/2026
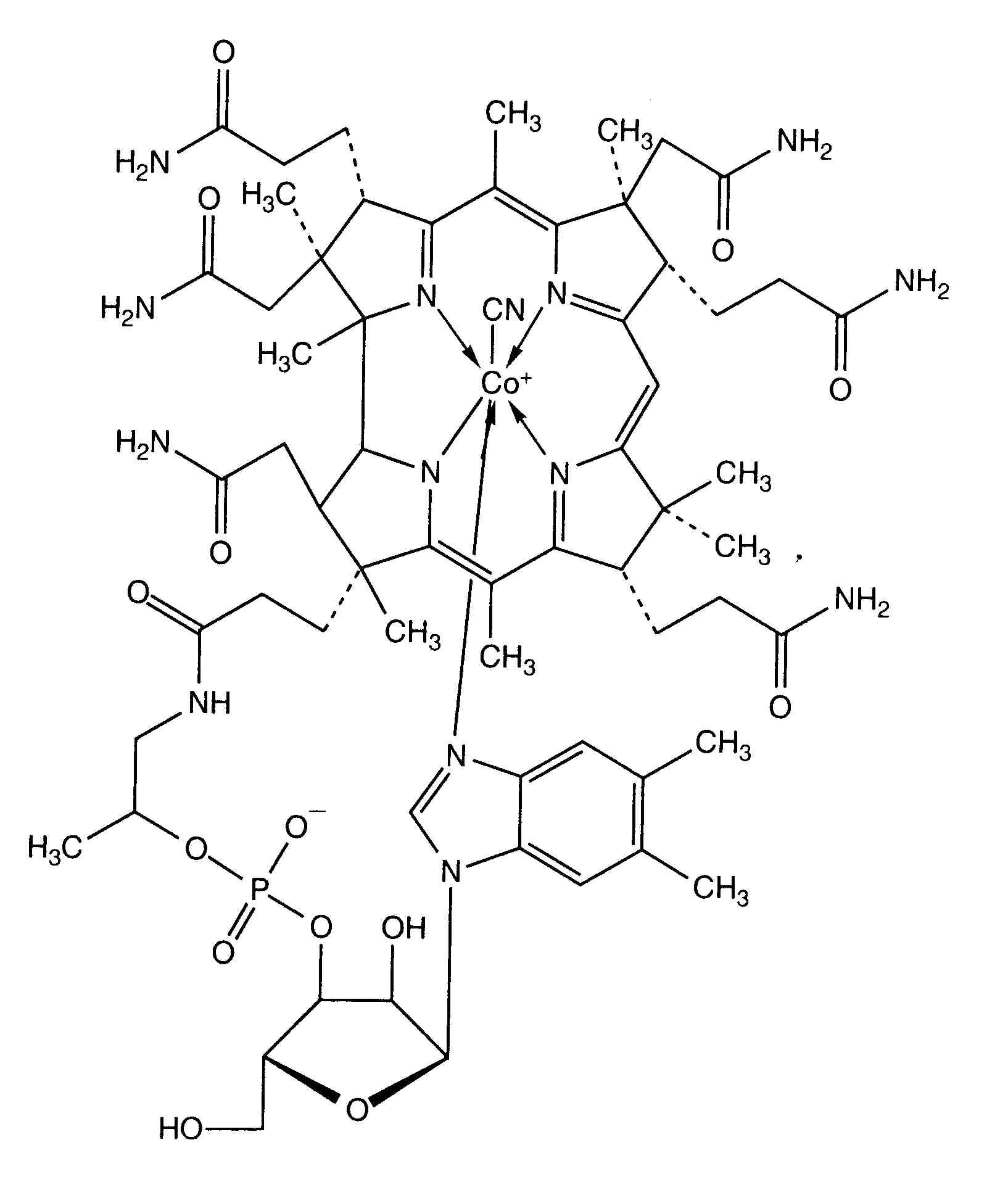
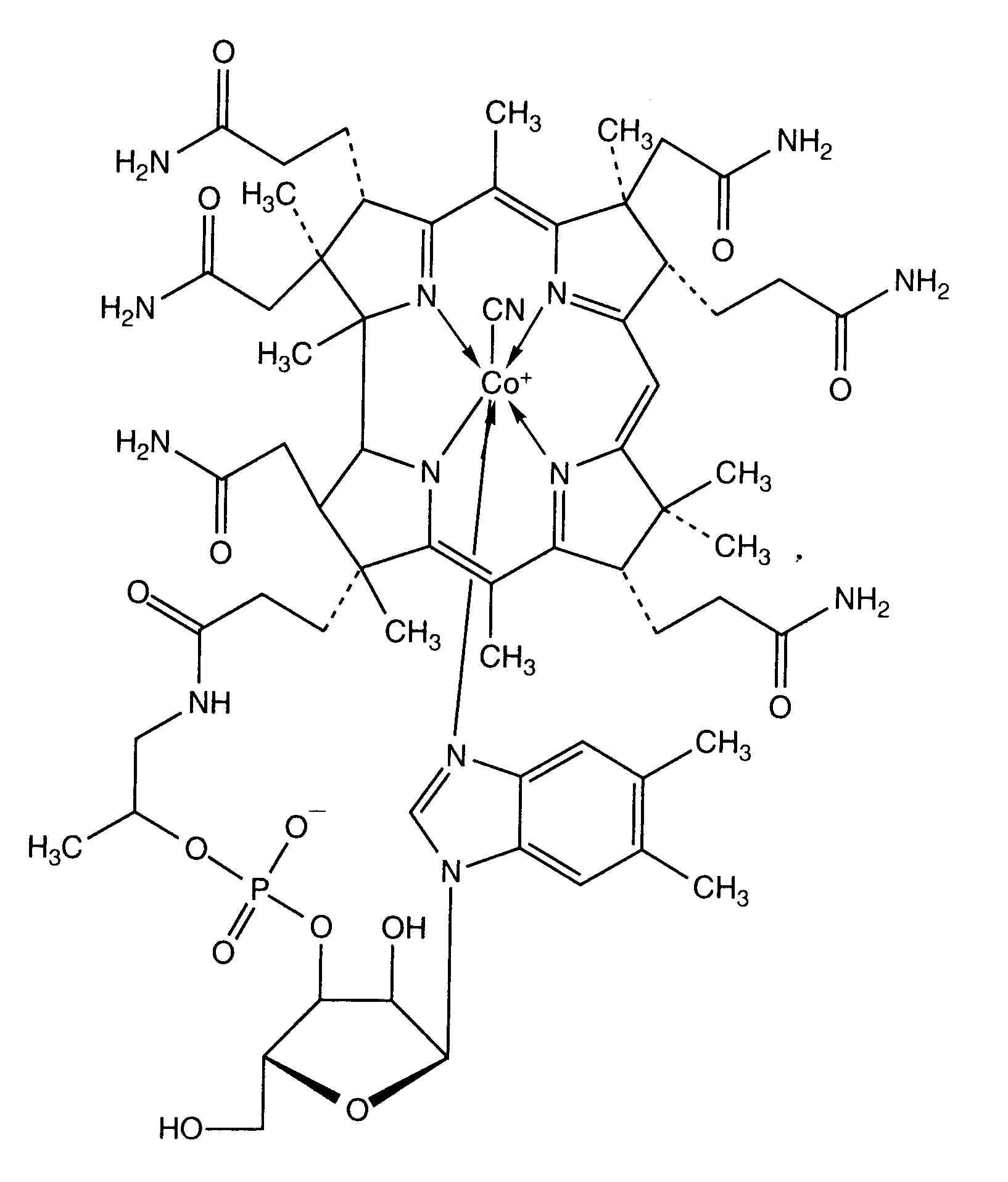
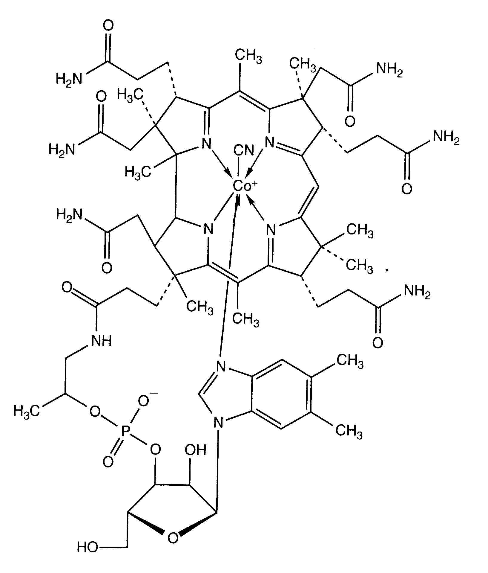
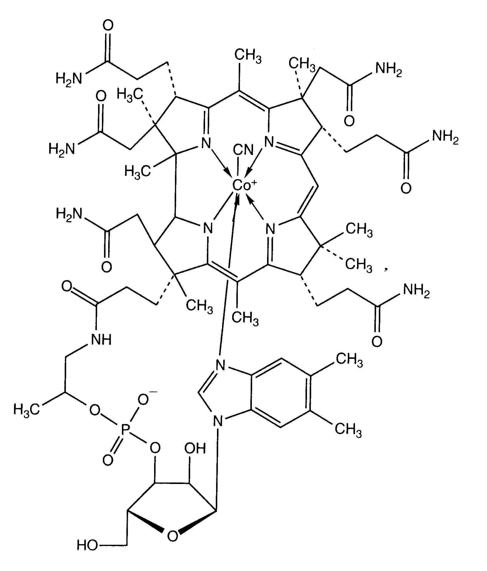
vitamiin   Cyanocobalamine  
Süsteravim
Stabiilsus lahustes Stabiilsust mõjutavad tegurid stabiilsust mõjutavad faktorid Sobimatus Manustamis viis Viited pdf
   keemiline struktuur  

Kaubanduslikud nimed erinevates maades   Kaubanduslikud nimed erinevates maades     

Preparaatide nimed on näitlikud ja abianete sisaldus võib erineda sõltuvalt riigist ja laborist

Ambe 12 Saksamaa
Ambene B Saksamaa
B12 Ankermann Saksamaa
B12 Asmedic Saksamaa
B12 for injection Kanada, Saksamaa
B12 Vicotrat Saksamaa
Beto 12 Egiptus
Betolvex Araabia Ühendemiraadid, Egiptus, Norra, Rootsi, Saudi Araabia, Soome, Sveits, Taani
Bitavion Iraan
Cianocobalamina Ecuador, Kolumbia, Tšiili, Venetsueela
Cidulvex Egiptus
Citon India
Cobal Malaisia
Cobex Kanada
Cozamon Venetsueela
Cromatonbic B12 Hispaania
Cyanocobalamin Ameerika ühendriigid, Egiptus, Malaisia, uus-Meremaa
Cyanocobalamine Malaisia, Prantsusmaa
Cyanvit Iraan
Cynovit Araabia Ühendemiraadid, Saudi Araabia
Cytamen Austraalia, Iirimaa, Suurbritannia
Cytobion Saksamaa, Saudi Araabia
Dobetin Itaalia
Dodex Türgi
Droxofor Venetsueela
Duradoce Mehhiko
Emicobal Egiptus
Hamo Vilobex Saksamaa
Hidro Doce 5000 Venetsueela
Ibedox Venetsueela
L Vit 12 India
Lifaton B12 Hispaania
Lophakomp B12 Saksamaa
Optovite B12 Hispaania
Osve Vitamin B12 Iraan
Permadoze Portugal
Reedvit Argentiina
Reiculoger Ecuador, Hispaania
Rowo Vitamin B12 Saksamaa
Rubivamin Ameerika ühendriigid, Egiptus
Vibalmin Iraan
Vicapan Saksamaa
Viplex B12 Türgi
Vitakobal Türgi
Vitamina B12 Araabia Ühendemiraadid, Austria, Belgia, Ecuador, Iraan, Kanada, Kolumbia, Malaisia, Maroko, Norra, Rumeenia, Saksamaa, Sveits, Tuneesia, Venetsueela
Vitaminum B12 Poola
Vitarubine Sveits
Stabiilsust mõjutavad tegurid   Süsteravim   Stabiilsust mõjutavad tegurid : Cyanocobalamine     
konteiner lahusti kontsentratsioon ingredient temperatuur ladustamine Stabiilsuse kestus Viited
klaas mitte ükski 1.25 mg/ml
Süsteravim   Cyanocobalamine   
Süsteravim   Thiocolchicoside 1 mg/ml
25°C
3 Tund
1859
Tõenduspõhisuse tase C

  Mentions Légales