Last update :
27/01/2026
Vitamin   Cyanocobalamine  
injection
Stability in solutions Stability of mixtures Factors which affect stability Compatibility Route of administration References pdf
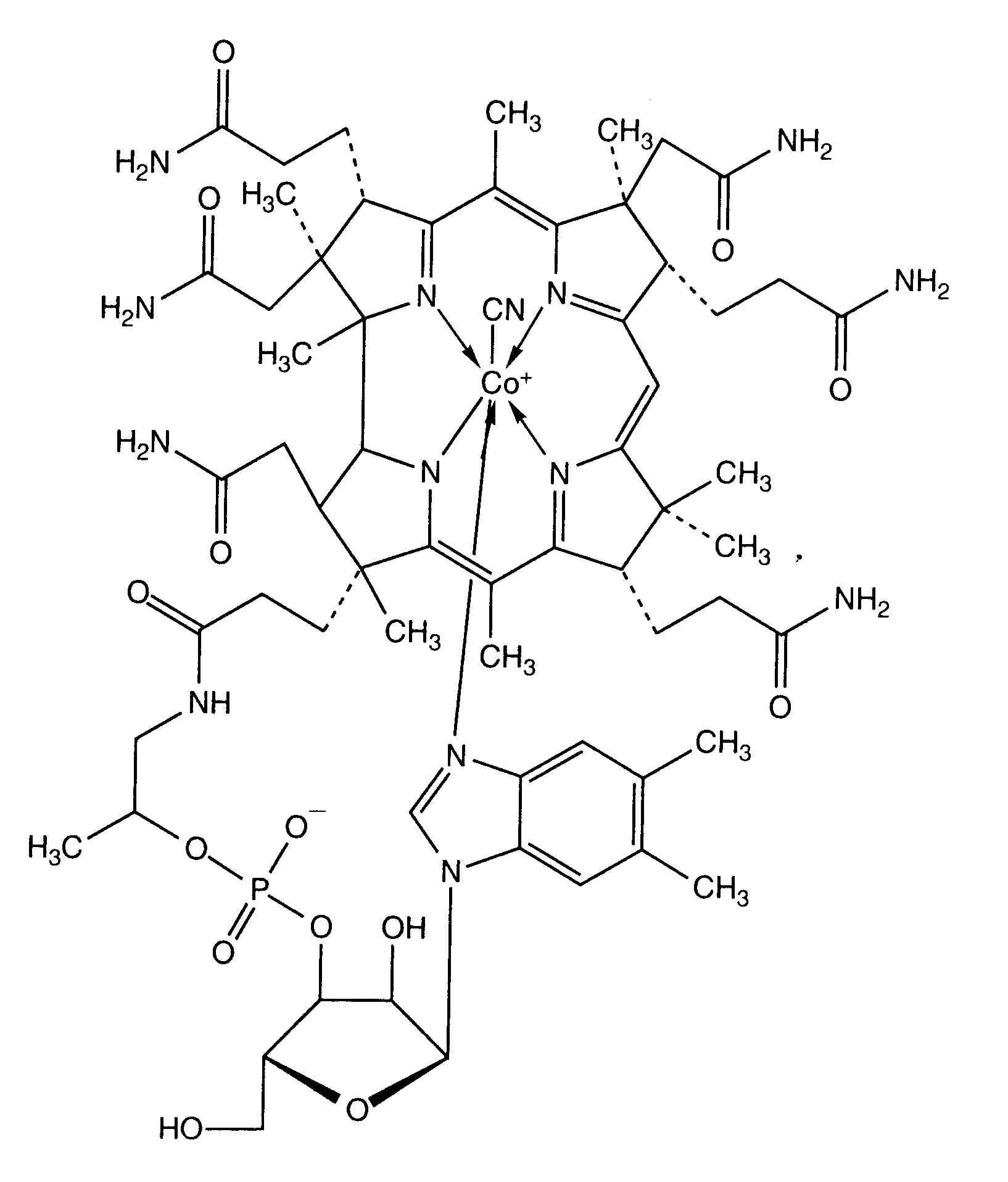
   Chemical structure  

Tradename   Tradename     

Trade names are indicative and excipients composition can be different depending on the country and manufacturers

Ambe 12 Germany
Ambene B Germany
B12 Ankermann Germany
B12 Asmedic Germany
B12 for injection Canada, Germany
B12 Vicotrat Germany
Beto 12 Egypt
Betolvex Denmark, Egypt, Finland, Norway, Saudi Arabia, Sweden, Switzerland, United Arab Emirates
Bitavion Iran
Cianocobalamina Chile, Colombia, Ecuador, Venezuela
Cidulvex Egypt
Citon India
Cobal Malaysia
Cobex Canada
Cozamon Venezuela
Cromatonbic B12 Spain
Cyanocobalamin Egypt, Malaysia, New Zealand, United States of America
Cyanocobalamine France, Malaysia
Cyanvit Iran
Cynovit Saudi Arabia, United Arab Emirates
Cytamen Australia, Great Britain, Ireland
Cytobion Germany, Saudi Arabia
Dobetin Italy
Dodex Turkey
Droxofor Venezuela
Duradoce Mexico
Emicobal Egypt
Hamo Vilobex Germany
Hidro Doce 5000 Venezuela
Ibedox Venezuela
L Vit 12 India
Lifaton B12 Spain
Lophakomp B12 Germany
Optovite B12 Spain
Osve Vitamin B12 Iran
Permadoze Portugal
Reedvit Argentina
Reiculoger Ecuador, Spain
Rowo Vitamin B12 Germany
Rubivamin Egypt, United States of America
Vibalmin Iran
Vicapan Germany
Viplex B12 Turkey
Vitakobal Turkey
Vitamina B12 Austria, Belgium, Canada, Colombia, Ecuador, Germany, Iran, Malaysia, Morocco, Norway, Romania, Switzerland, Tunisia, United Arab Emirates, Venezuela
Vitaminum B12 Poland
Vitarubine Switzerland
Stability of mixtures   injection   Stability of mixtures : Cyanocobalamine     
Container Solvent Concentration Compound Temperature Storage Duration of stability References
Glass None 1.25 mg/ml
injection   Cyanocobalamine   
injection   Thiocolchicoside 1 mg/ml
25°C
3 Hour
1859
Level of evidence C

  Mentions Légales