Останнє оновлення :
27/04/2026
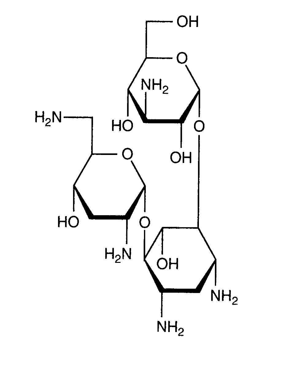
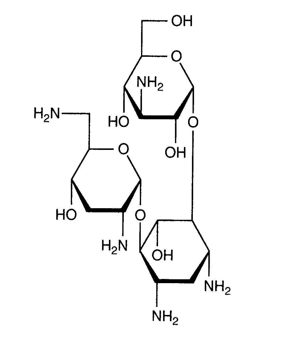
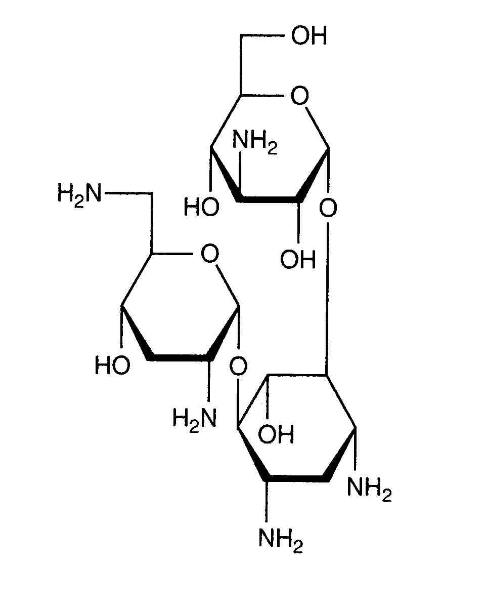
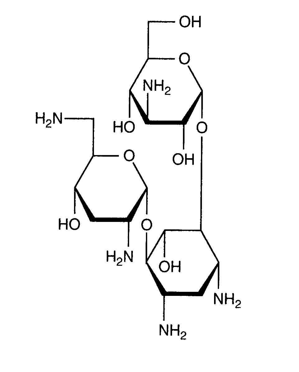
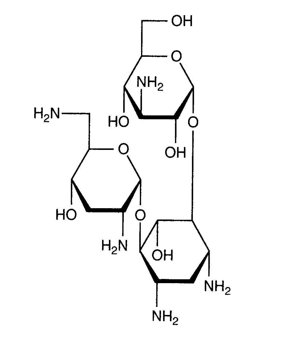
Антибіотик   Tobramycin sulfate  
аерозоль
ін'єкція Очні краплі Розчин для перорального застосування
Стабільність фармацевтичних препаратів Стійкість сумішей Фактори, що впливають на стабільність Сумісність Список літератури pdf
   Хімічна структура  

аерозоль
Сумісність   аерозоль   Сумісність : Tobramycin sulfate              
explication_incompatibilite_molecules
З'єднання Excipient Список літератури

  Mentions Légales