Poslední aktualizace :
27/04/2026
Antibiotikas   Tobramycin sulfate  
Aerozolis
Akių lašai Geriamas tirpalas Įpurškimas
Stabilumas farmacinių preparatų Mišinių stabilumas Stabilumą lemiantys veiksniai Suderinamumas Bibliografija pdf
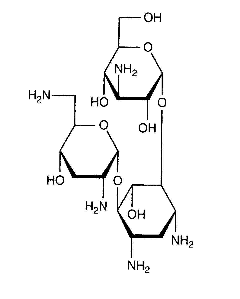
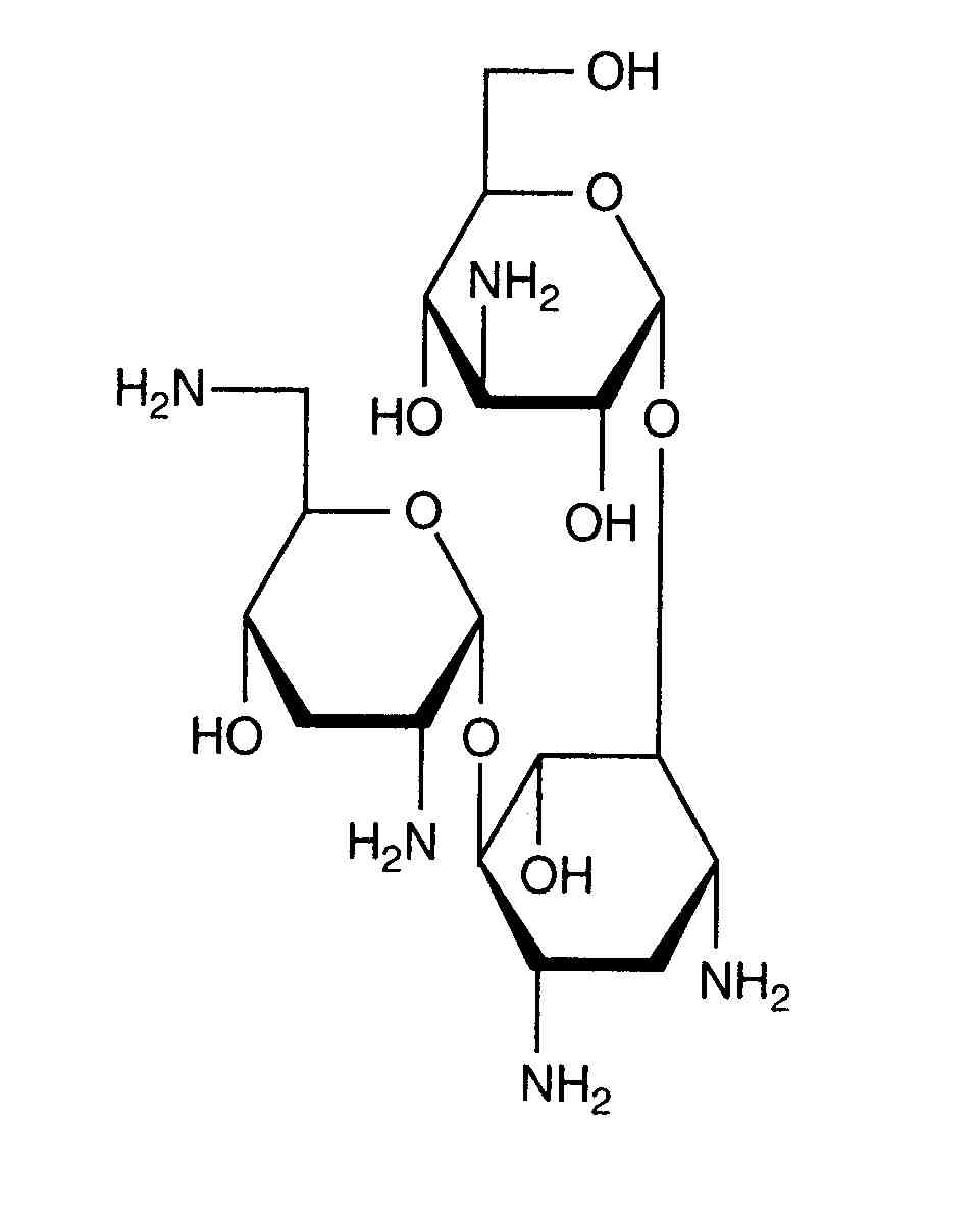
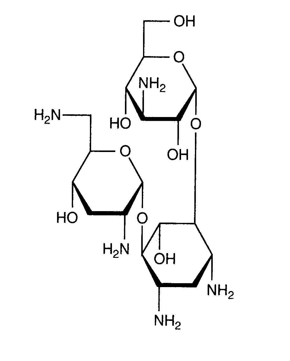
   Cheminė sandara  

Aerozolis
Suderinamumas   Aerozolis   Suderinamumas : Tobramycin sulfate              
explication_incompatibilite_molecules
Molekulė Excipient Nuorodos

  Mentions Légales