Son güncelleme :
27/01/2026
Vitamin   Phytomenadione  
Oral solüsyon / oral çözelti
Enjeksiyon
Farmasötik preparatlar Kararlılığı Karışımlardaki stabilitesi Stabiliteyi etkileyen faktörler Uyumluluk Kaynaklar pdf
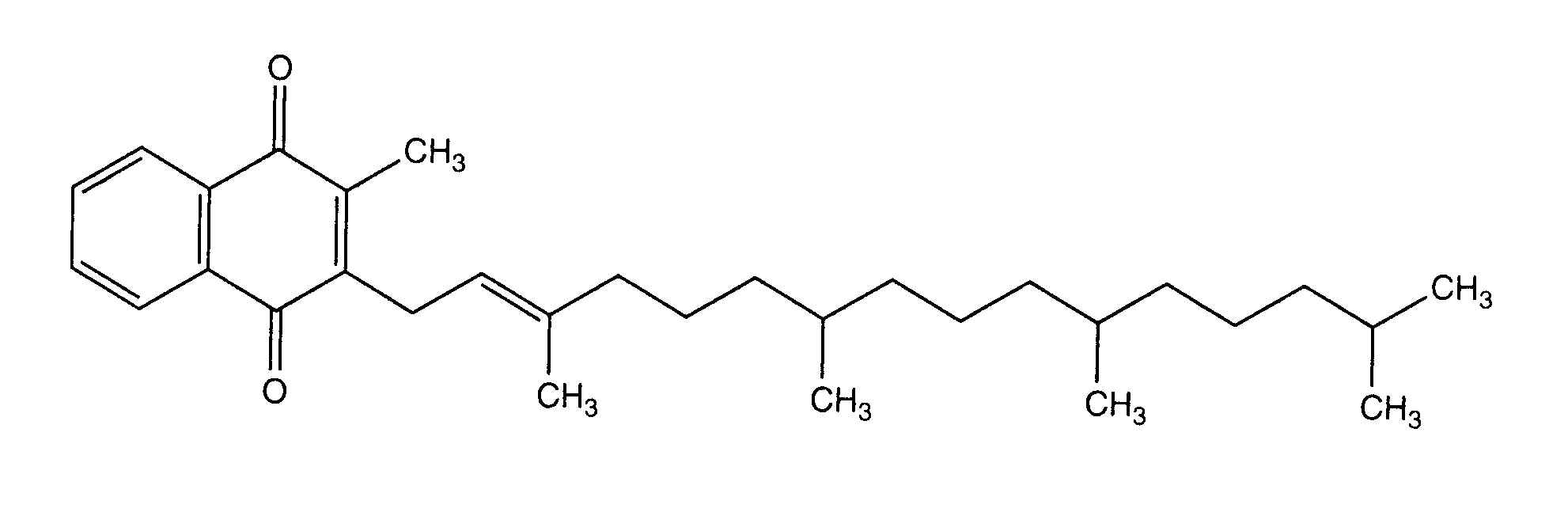
   Kimyasal yapı   

Oral solüsyon / oral çözelti
Karışımlardaki stabilitesi   Oral solüsyon / oral çözelti   Karışımlardaki stabilitesi : Phytomenadione     
veri yok

  Mentions Légales