Senaste uppdateringen :
27/01/2026
Vitamin   Phytomenadione  
Oral lösning
injektion
Stabilitet av läkemedel Stabilitet i blandningar Faktorer som påverkar stabiliteten Kompatibilitet Hänvisningar pdf
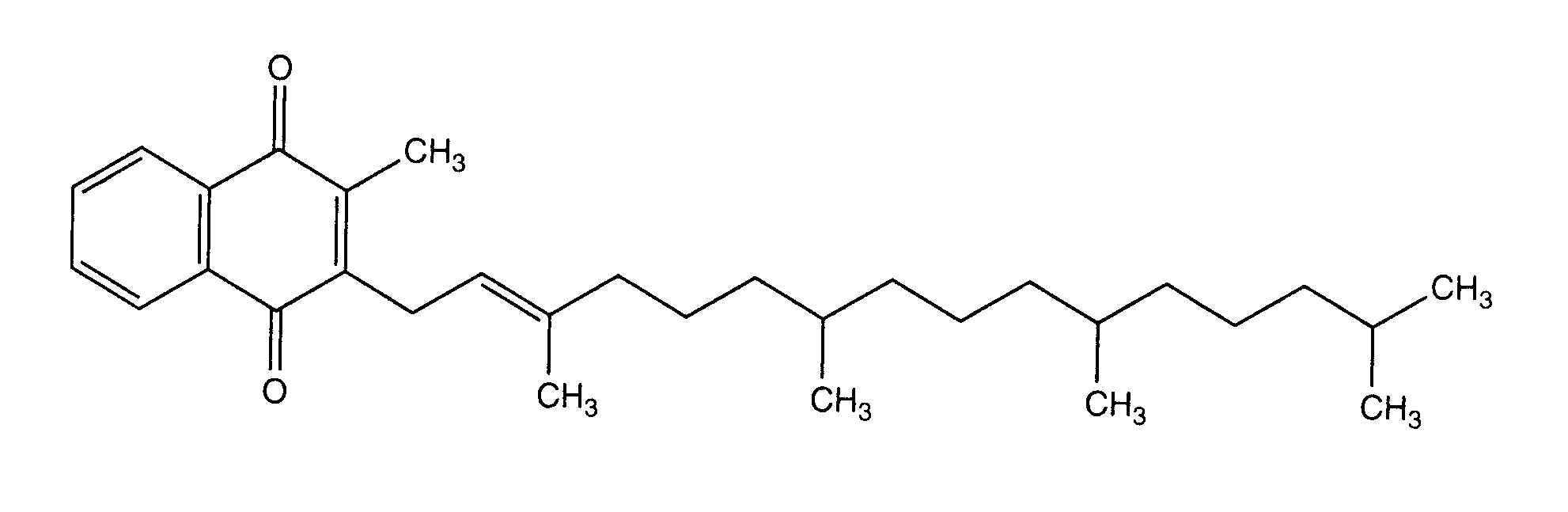
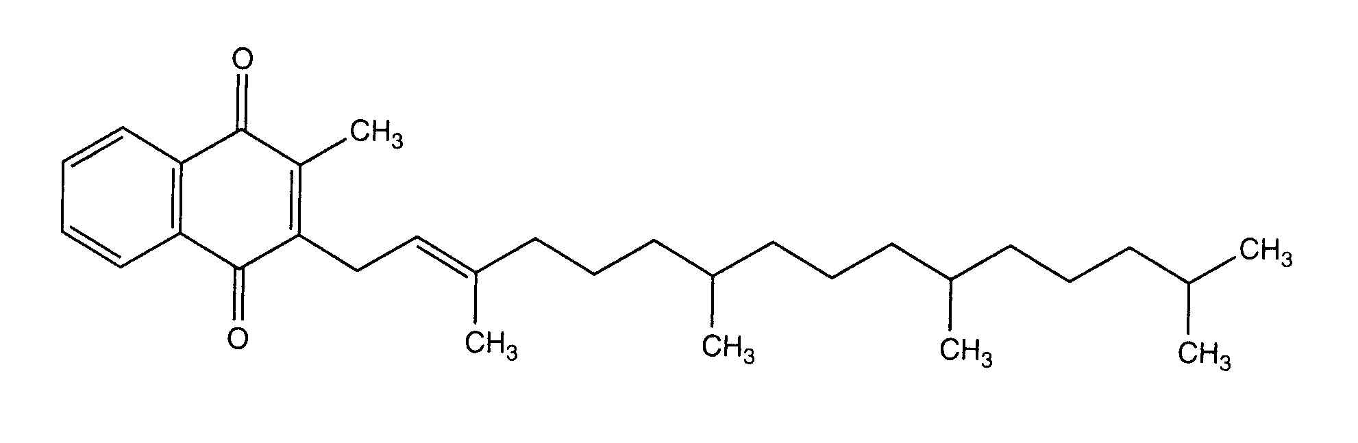
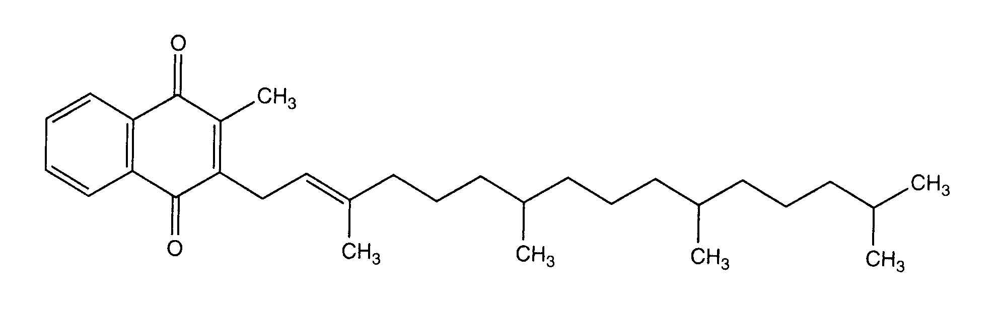
   Molekylstruktur  

Oral lösning
Stabilitet i blandningar   Oral lösning   Stabilitet i blandningar : Phytomenadione     
Ingen uppgift

  Mentions Légales