Poslední aktualizace :
27/01/2026
Vitamin   Phytomenadione  
Perorální roztok
injekce
Stabilita farmaceutických přípravků Stabilita směsí Faktory ovlivňující stabilitu Kompatibilita Odkazy pdf
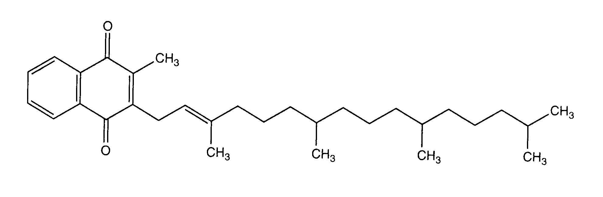
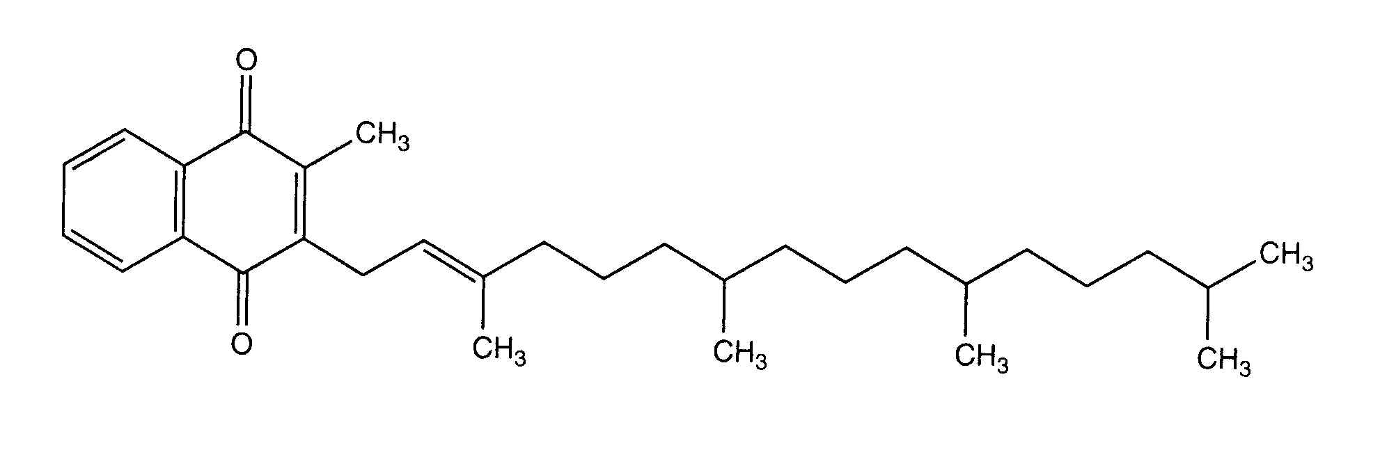
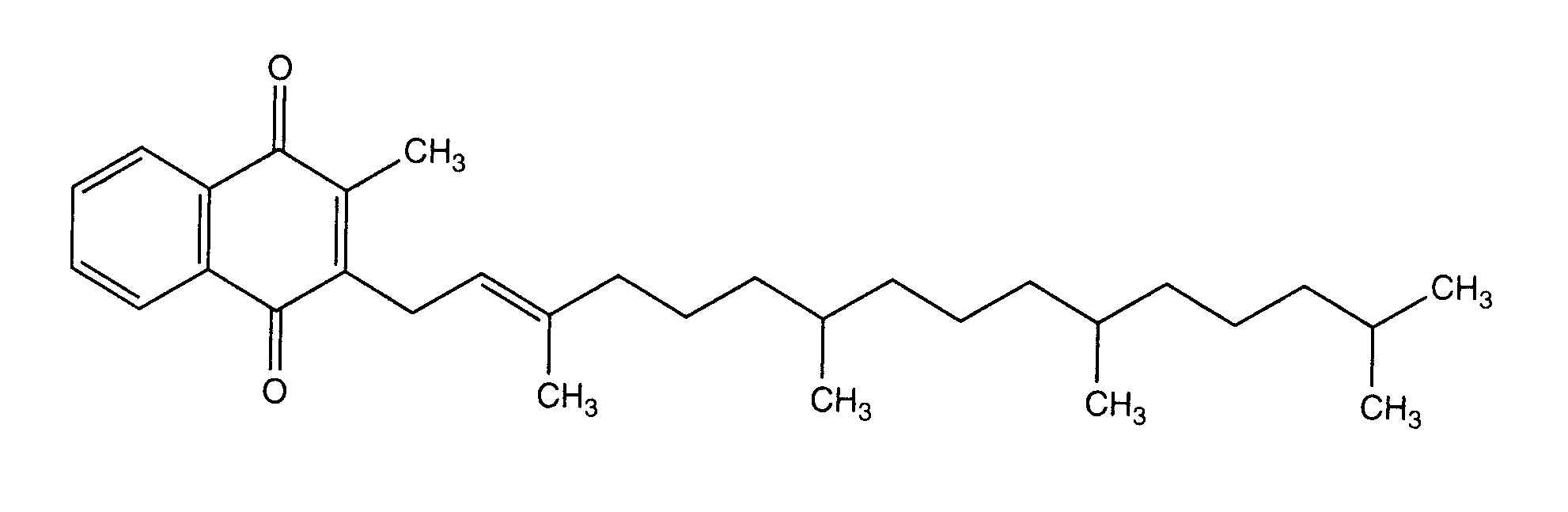
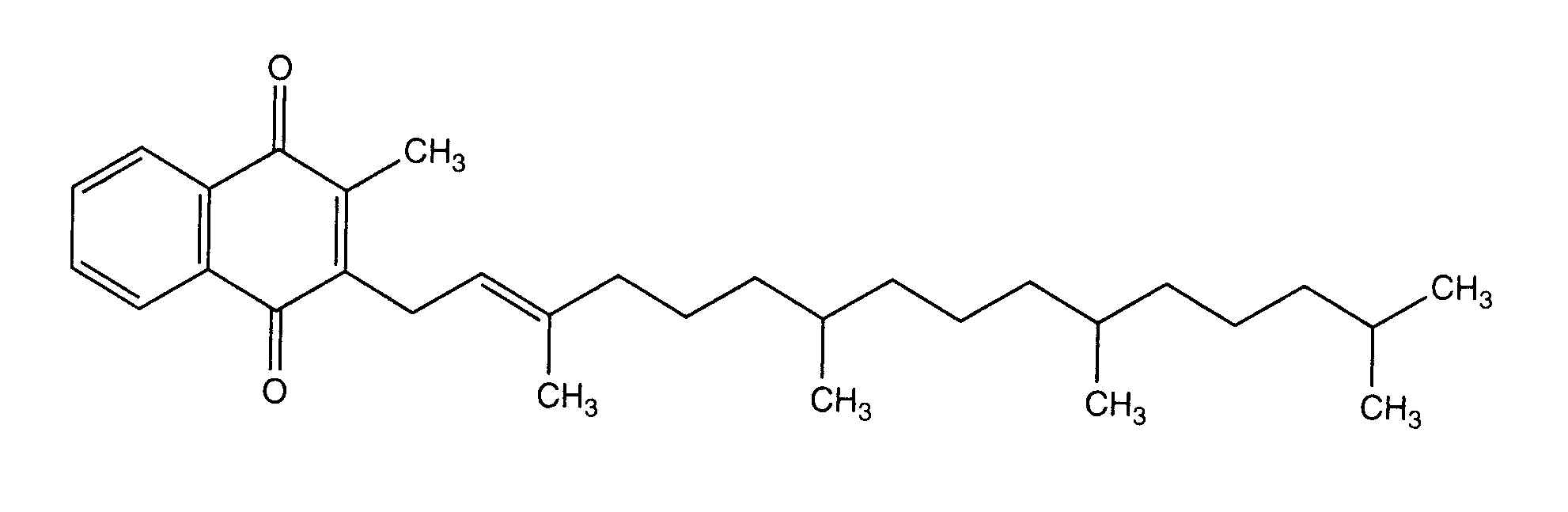
   Chemický vzorec  

Perorální roztok
Stabilita směsí   Perorální roztok   Stabilita směsí : Phytomenadione     
žádná data

  Mentions Légales