Zadnji put ažurirano :
27/01/2026
vitamini   Phytomenadione  
oralna otopina
injekcija
Stabilnost farmaceutskih pripravaka Stabilnost mješavine Stabilizacijski faktor Kompatibilnosti Bibliografija pdf
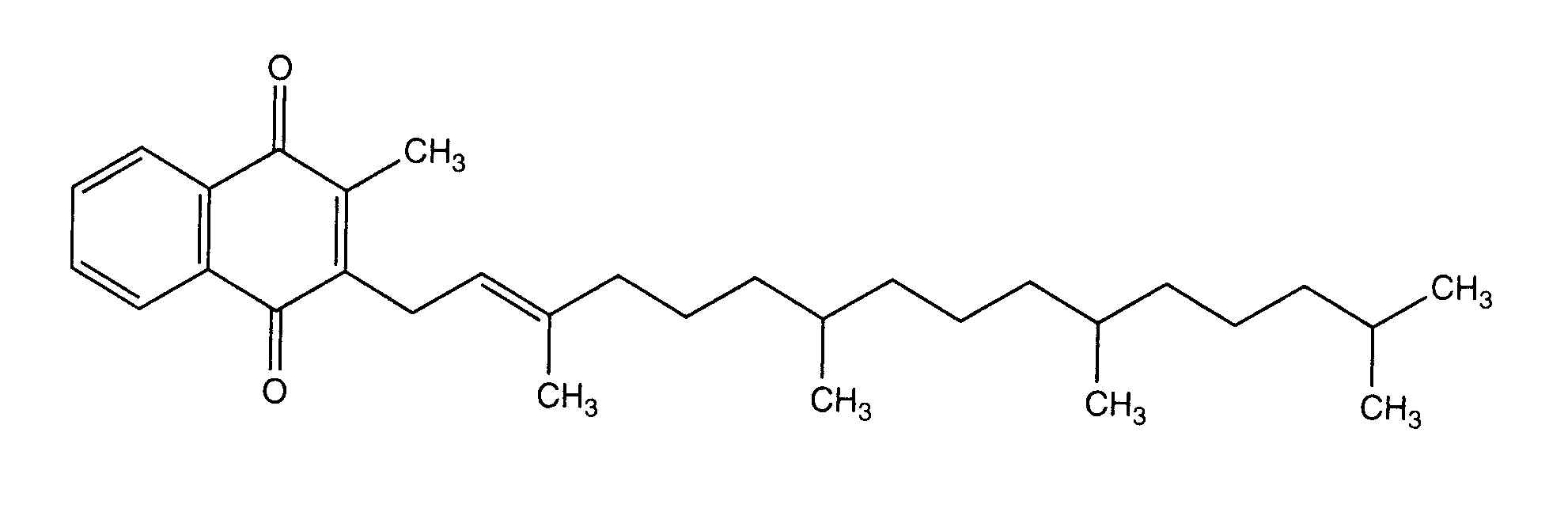
   Kemijska struktura  

oralna otopina
Stabilnost mješavine   oralna otopina     Stabilnost mješavine : Phytomenadione     
bez podataka

  Mentions Légales