Son güncelleme :
27/04/2026
Çeşitli   N-acetylcysteine  
Aerosol
Enjeksiyon Göz damlası Oral solüsyon / oral çözelti
Farmasötik preparatlar Kararlılığı Karışımlardaki stabilitesi Stabiliteyi etkileyen faktörler Uyumluluk Kaynaklar pdf
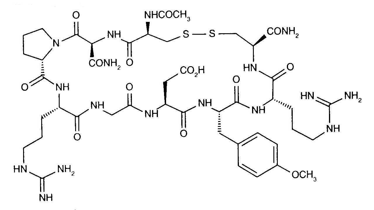
   Kimyasal yapı   

Aerosol
Farmasötik preparatlar Kararlılığı   Aerosol   Farmasötik preparatlar Kararlılığı : N-acetylcysteine     
veri yok

  Mentions Légales