آخر تحديث :
27/04/2026
مختلف   N-acetylcysteine  
الأيروصولات
حقن عن طريق الفم  قطرات العين
استقرار المستحضرات الصيدلانية استقرار مخاليط العوامل التي تؤثر على الاستقرار التوافق مراجع pdf
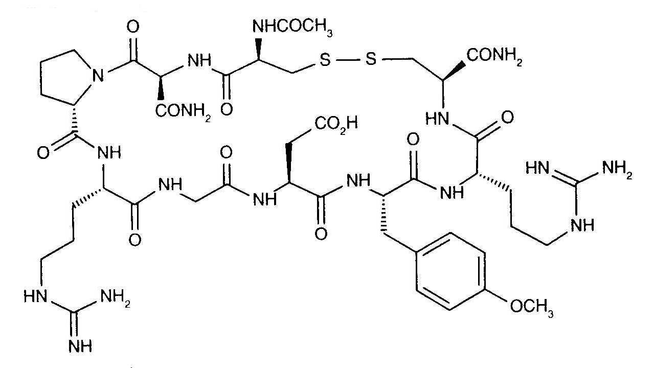
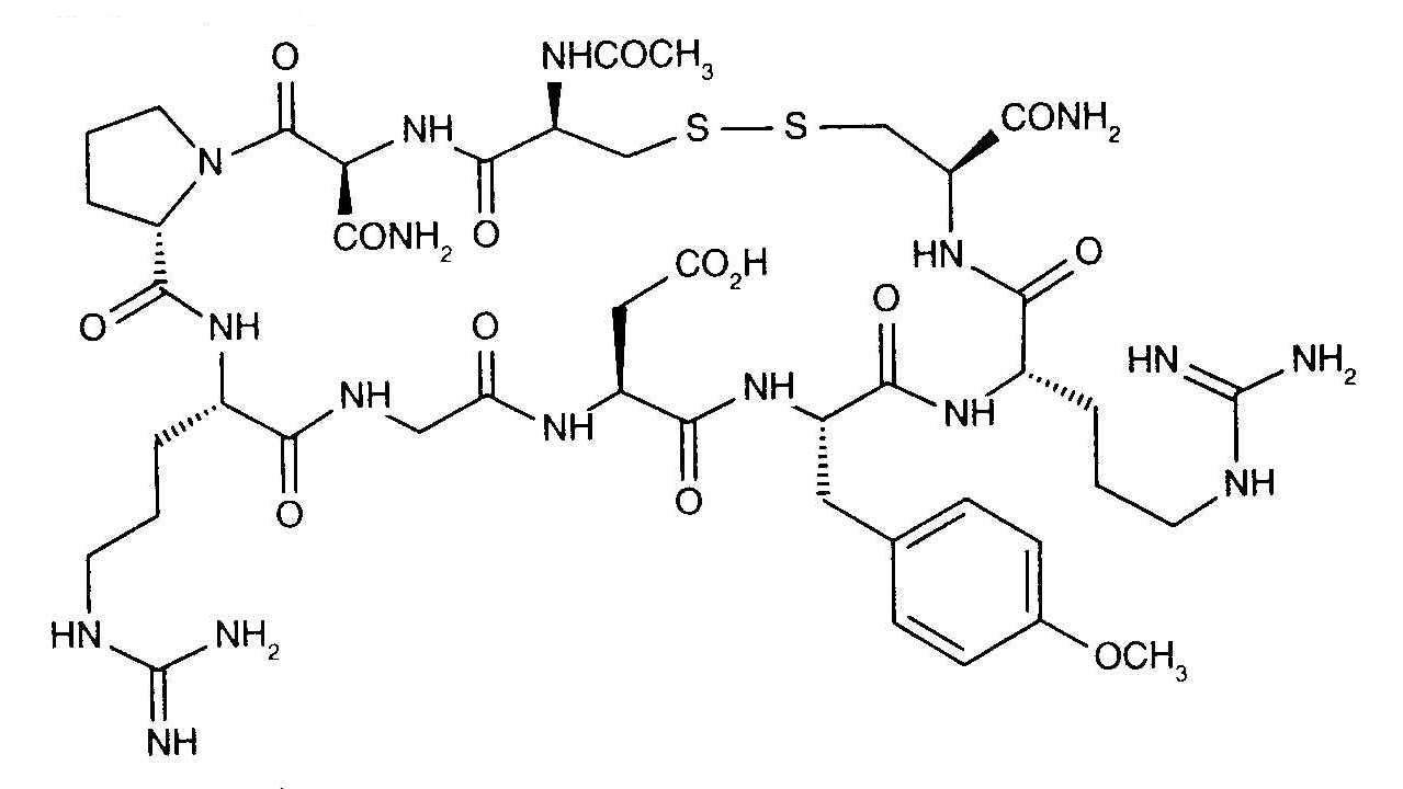
   التركيب الكيميائي  

الأيروصولات
استقرار المستحضرات الصيدلانية   الأيروصولات   استقرار المستحضرات الصيدلانية : N-acetylcysteine     
لا توجد بيانات

  Mentions Légales