Ostatnia aktualizacja :
27/04/2026
Różne   N-acetylcysteine  
Aerozol
Injekcje Krople oczne Roztwór doustny
Stabilność preparatów farmaceutycznych Trwałość w mieszaninie Czynnik wpływający na trwałość Zgodność Bibliografia pdf
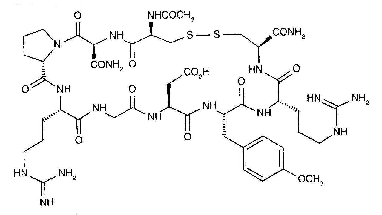
   Struktura chemiczna  

Aerozol
Stabilność preparatów farmaceutycznych   Aerozol   Stabilność preparatów farmaceutycznych : N-acetylcysteine     
Brak danych

  Mentions Légales