Ultimo aggiornamento :
27/04/2026
Altro   N-acetylcysteine  
Aerosol
Collirio Iniezione Soluzione orale
Stabilità dei preparati farmaceutici Stabilità in miscela Fattori che influenzano la stabilità Compatibilità Bibliografia pdf
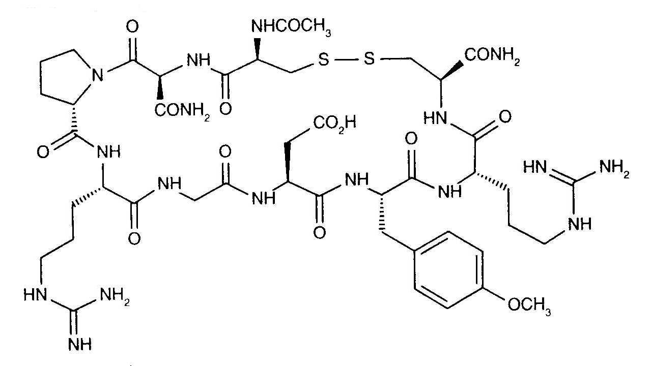
   Struttura chimica  

Aerosol
Stabilità dei preparati farmaceutici   Aerosol   Stabilità dei preparati farmaceutici : N-acetylcysteine     
Assenza di dati

  Mentions Légales