Останнє оновлення :
27/04/2026
різноманітні   N-acetylcysteine  
аерозоль
ін'єкція Очні краплі Розчин для перорального застосування
Стабільність фармацевтичних препаратів Стійкість сумішей Фактори, що впливають на стабільність Сумісність Список літератури pdf
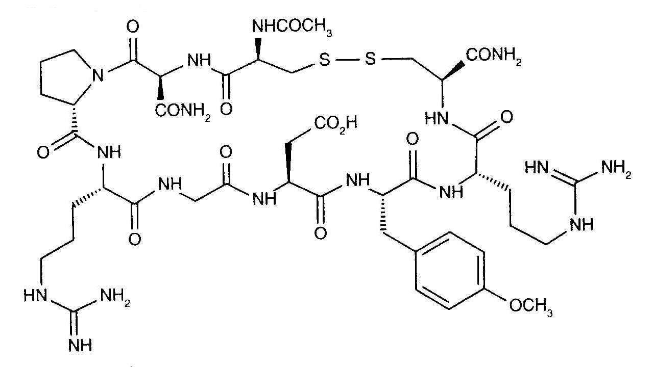
   Хімічна структура  

аерозоль
Стабільність фармацевтичних препаратів   аерозоль   Стабільність фармацевтичних препаратів : N-acetylcysteine     
7 / 5 000 Résultats de traduction Немає даних

  Mentions Légales