Poslední aktualizace :
27/04/2026
Různé   N-acetylcysteine  
Aerosol
Humbuk injekce Perorální roztok
Stabilita farmaceutických přípravků Stabilita směsí Faktory ovlivňující stabilitu Kompatibilita Odkazy pdf
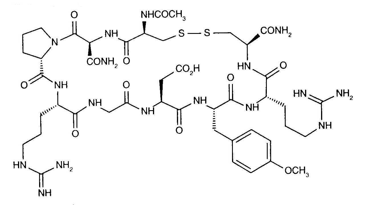
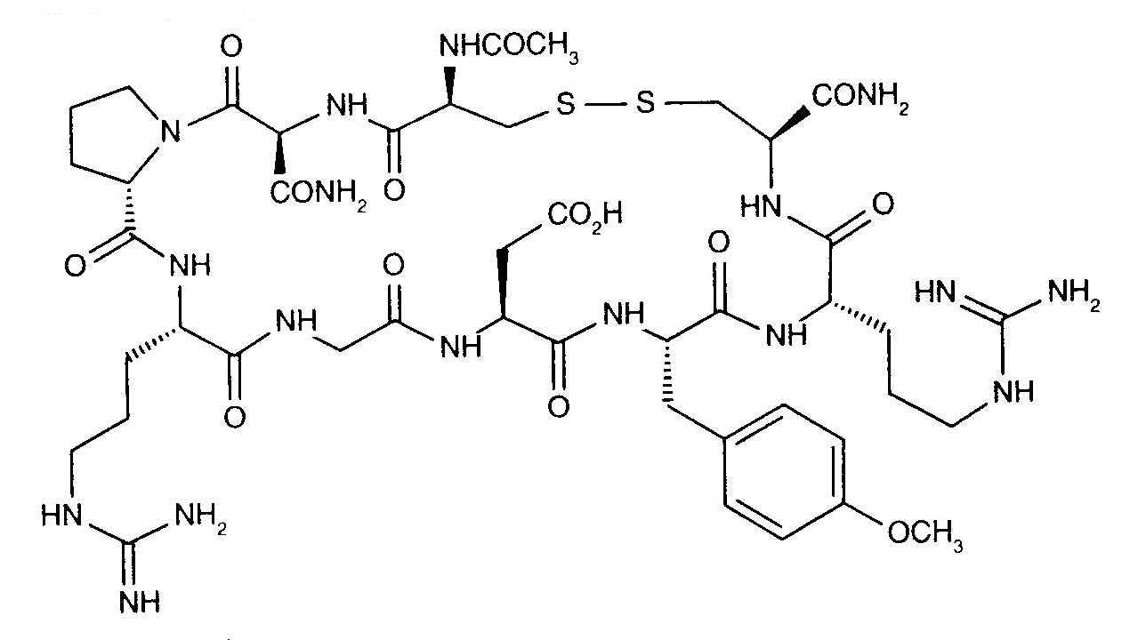
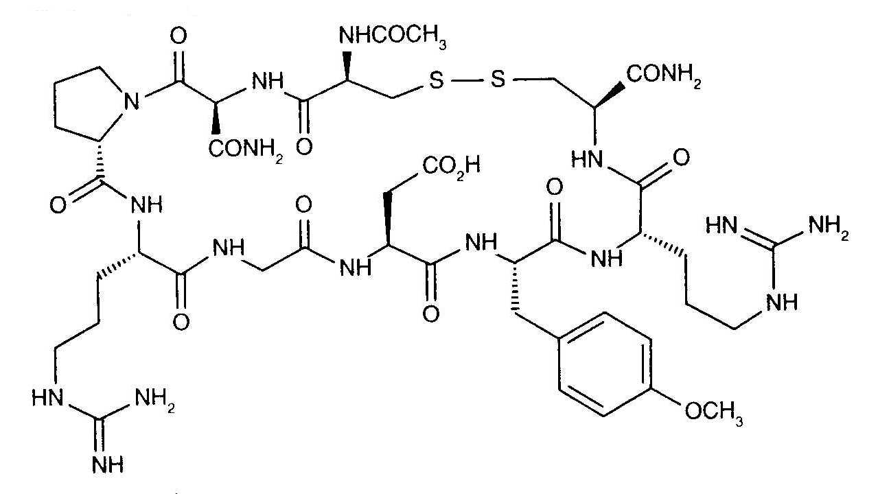
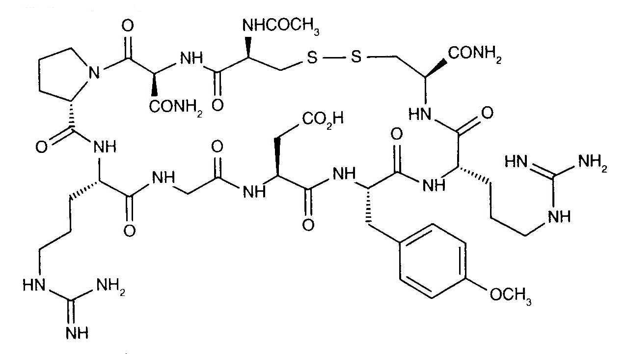
   Chemický vzorec  

Aerosol
Stabilita farmaceutických přípravků   Aerosol   Stabilita farmaceutických přípravků : N-acetylcysteine     
žádná data

  Mentions Légales