Última actualização :
27/04/2026
Varios   N-acetylcysteine  
aerossol
injetável solução oftálmica Solução Oral
Estabilidade de preparações farmacêuticas Estabilidade em misturas Factores que afectam a sua estabilidade Compatibilidade Bibliografía pdf
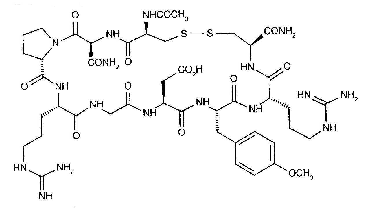
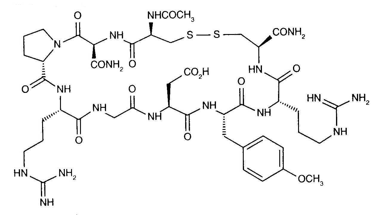
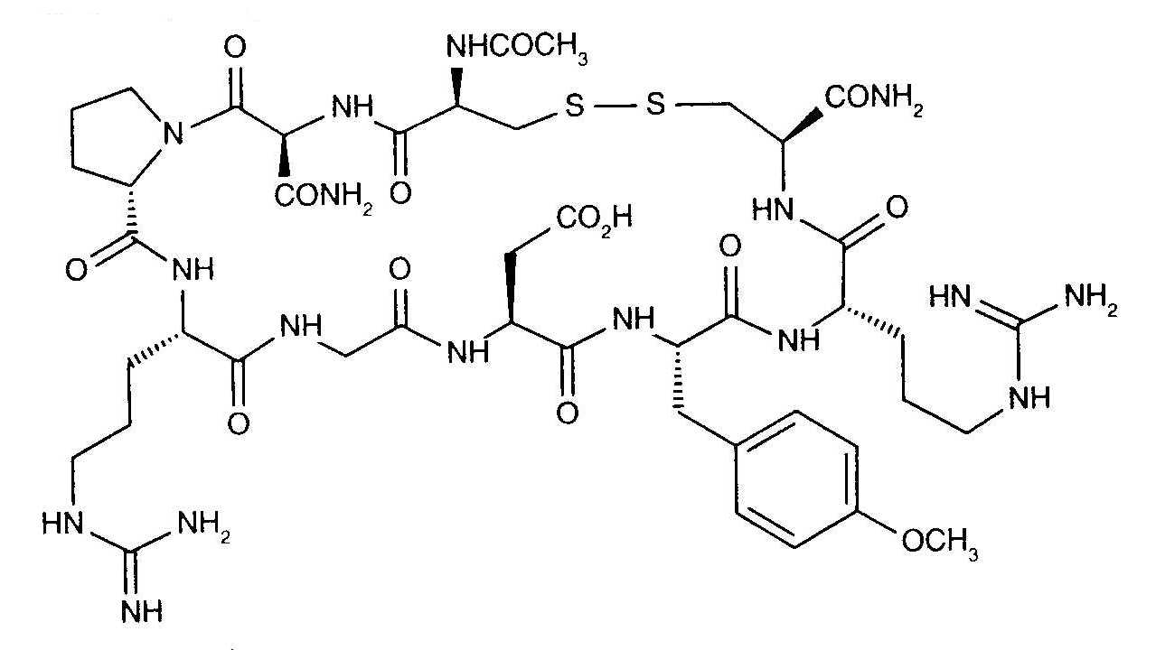
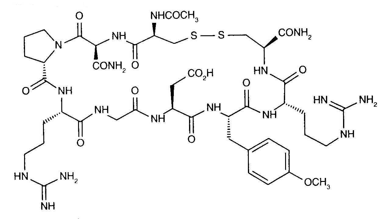
   estrutura química  

aerossol
Estabilidade de preparações farmacêuticas   aerossol   Estabilidade de preparações farmacêuticas : N-acetylcysteine     
Ausência de dados

  Mentions Légales