Última actualización :
27/04/2026
Varios   N-acetylcysteine  
Aerosol
Gotas oculares Inyectables Solución Oral
La estabilidad de las preparaciones farmacéuticas Estabilidad en mezcla Factores que influyen sobre la estabilidad Compatibilidades Bibliografía pdf
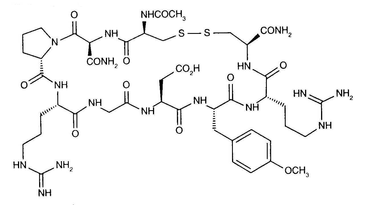
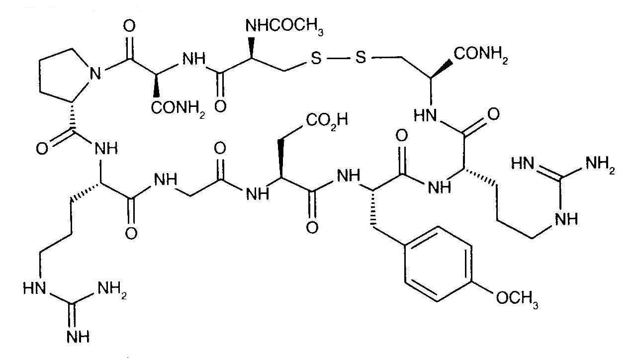
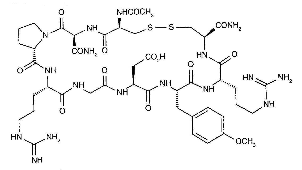
   Estructura química  

Aerosol
La estabilidad de las preparaciones farmacéuticas   Aerosol   La estabilidad de las preparaciones farmacéuticas : N-acetylcysteine     
Ausencia de datos

  Mentions Légales