Ultimo aggiornamento :
27/04/2026
Antimicotico   Amphotericin B   
Soluzione orale
Aerosol Collirio Collutorio Iniezione
Stabilità dei preparati farmaceutici Stabilità in miscela Fattori che influenzano la stabilità Compatibilità Bibliografia pdf
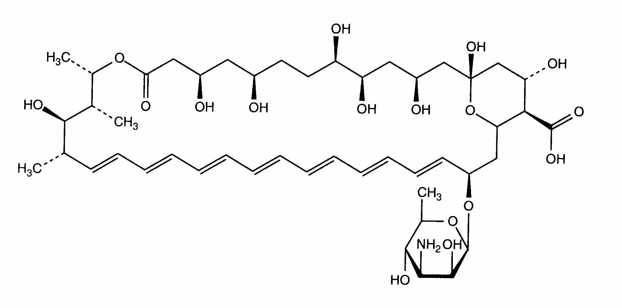
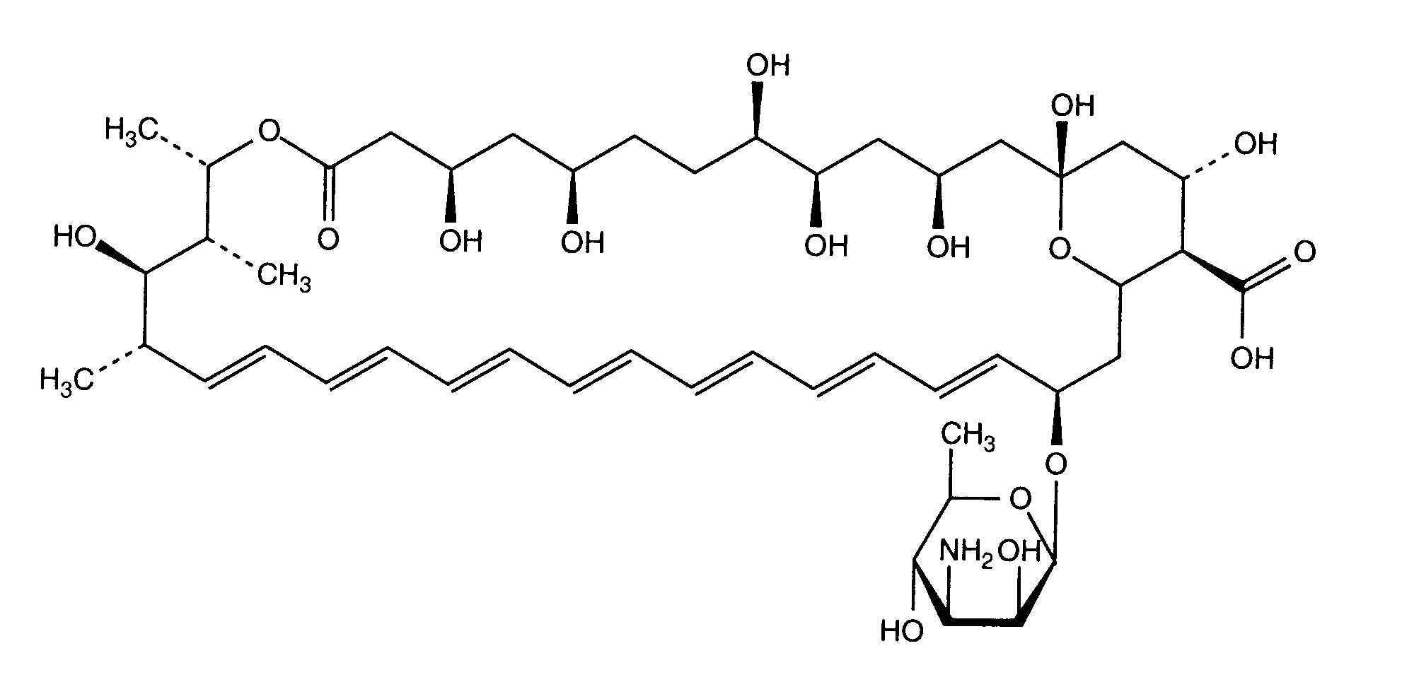
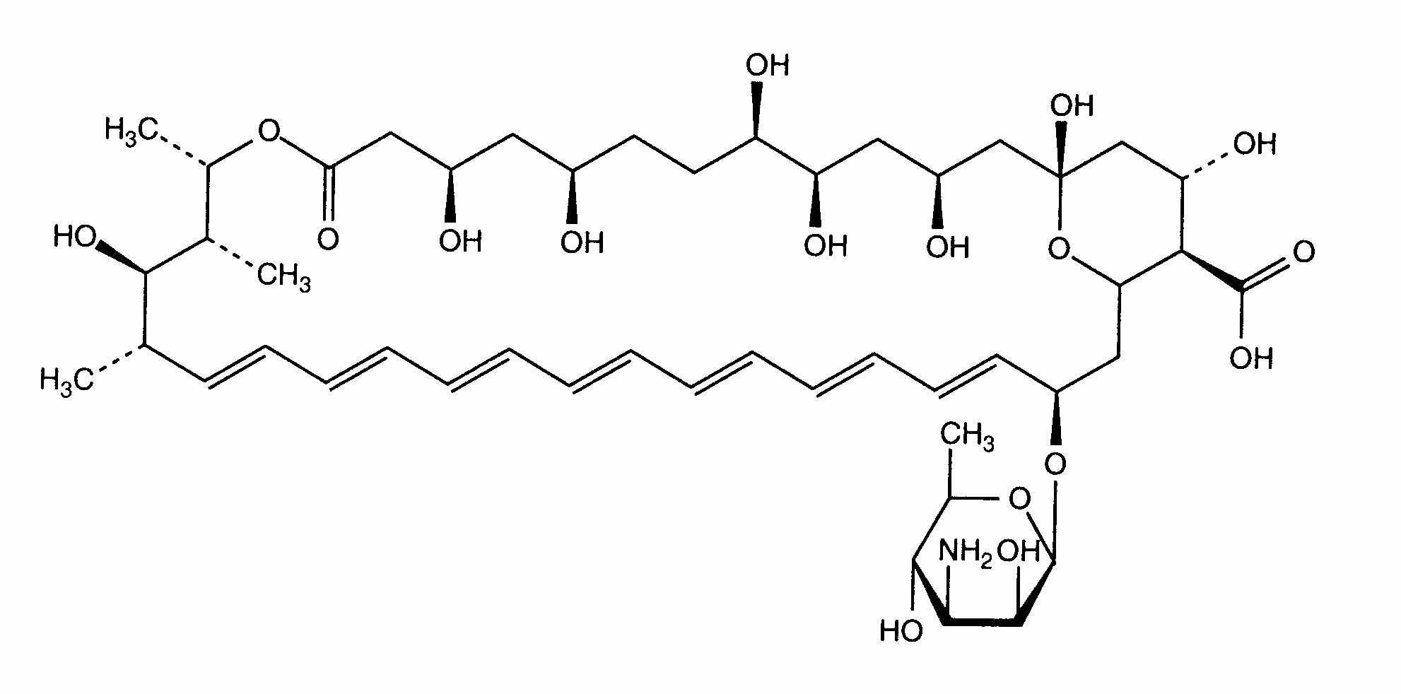
   Struttura chimica  

Soluzione orale
Bibliografia   Soluzione orale   Bibliografia : Amphotericin B   
tipo pubblicazione
2940 Rivista Dentinger PJ, Swenson CF, Anaizi NH.
Stability of amphotericin B in an extemporaneously compounded oral suspension.
Am J Health-Syst Pharm 2001 ; 58: 1021-1024.
3685 Rivista Pfeifer C, Noll S, Gerecke H, Fassauer G, Jira T, Remane Y , Vogel J, Frontini R, Reinhardt R.
A stability study of amphotericin B, colistin and tobramycin in a hydrophilic suspension commonly used for selective decontamination of the digestive tract by HPLC and in vitro potency measurements.
EJHP 2017 ; 24:4 : 235-241

  Mentions Légales