Dernière mise à jour :
27/04/2026
Antifongique   Amphotericin B   
Solution buvable
Aérosol Collyre Gargarisme injectable
Stabilité des préparations Stabilité en mélange Facteur influençant la stabilité Compatibilités Bibliographie pdf
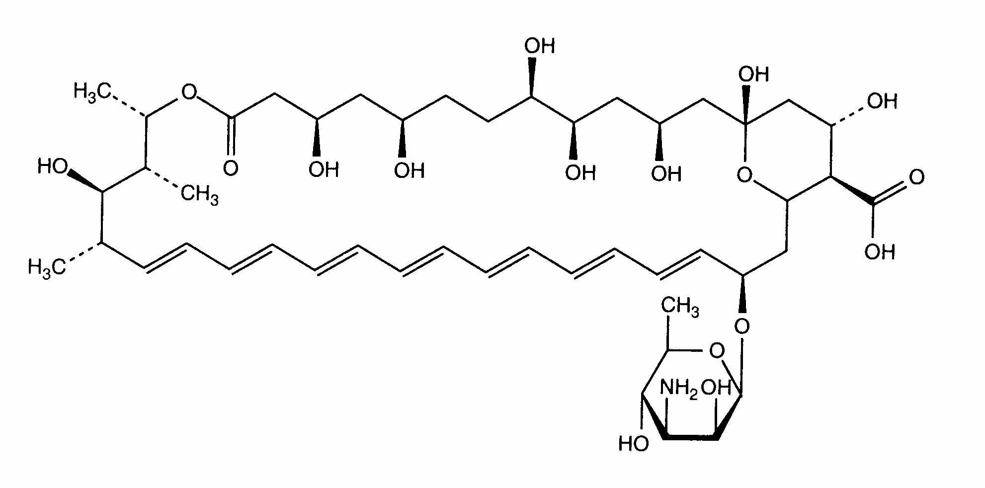
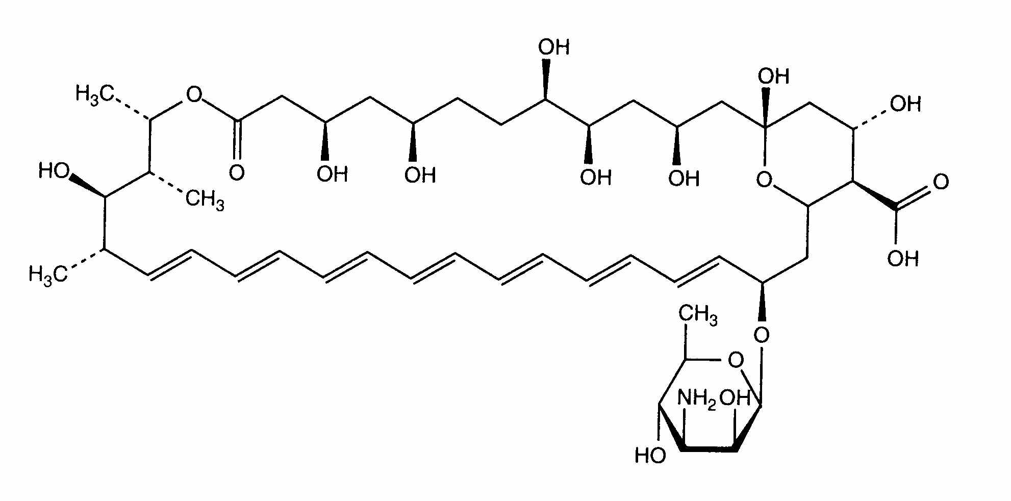
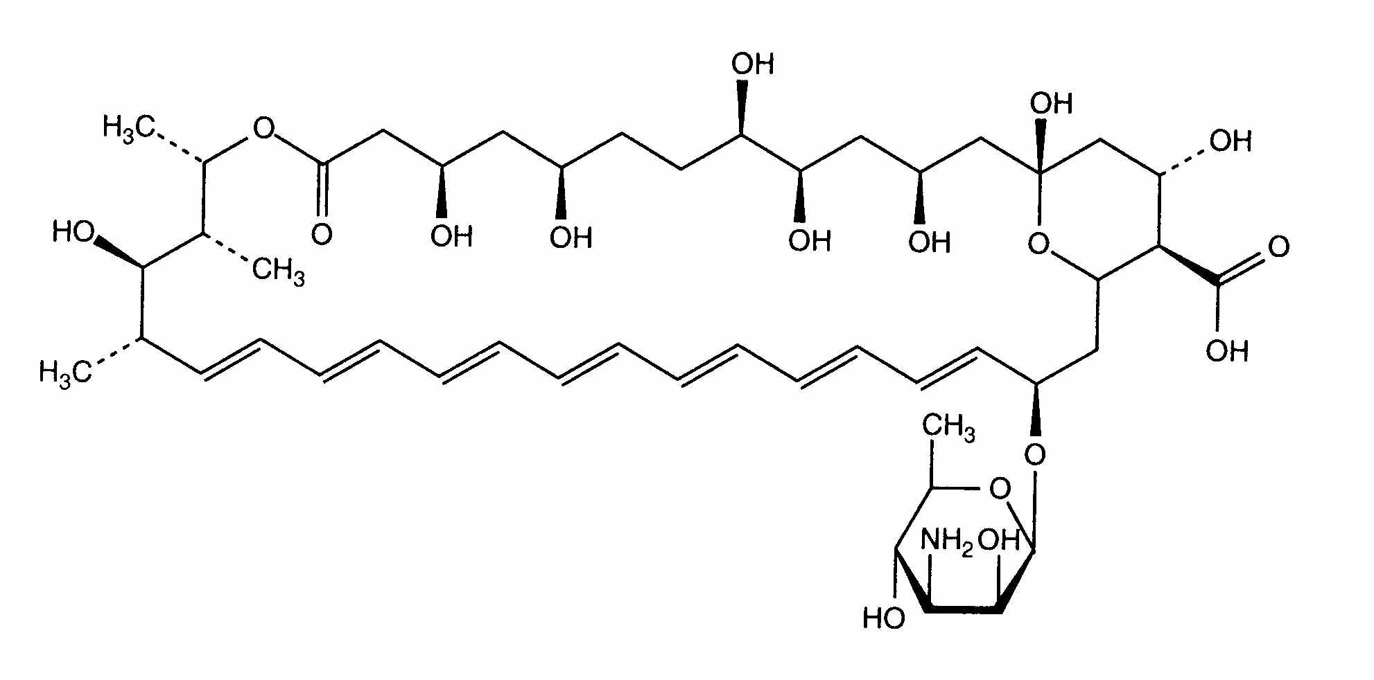
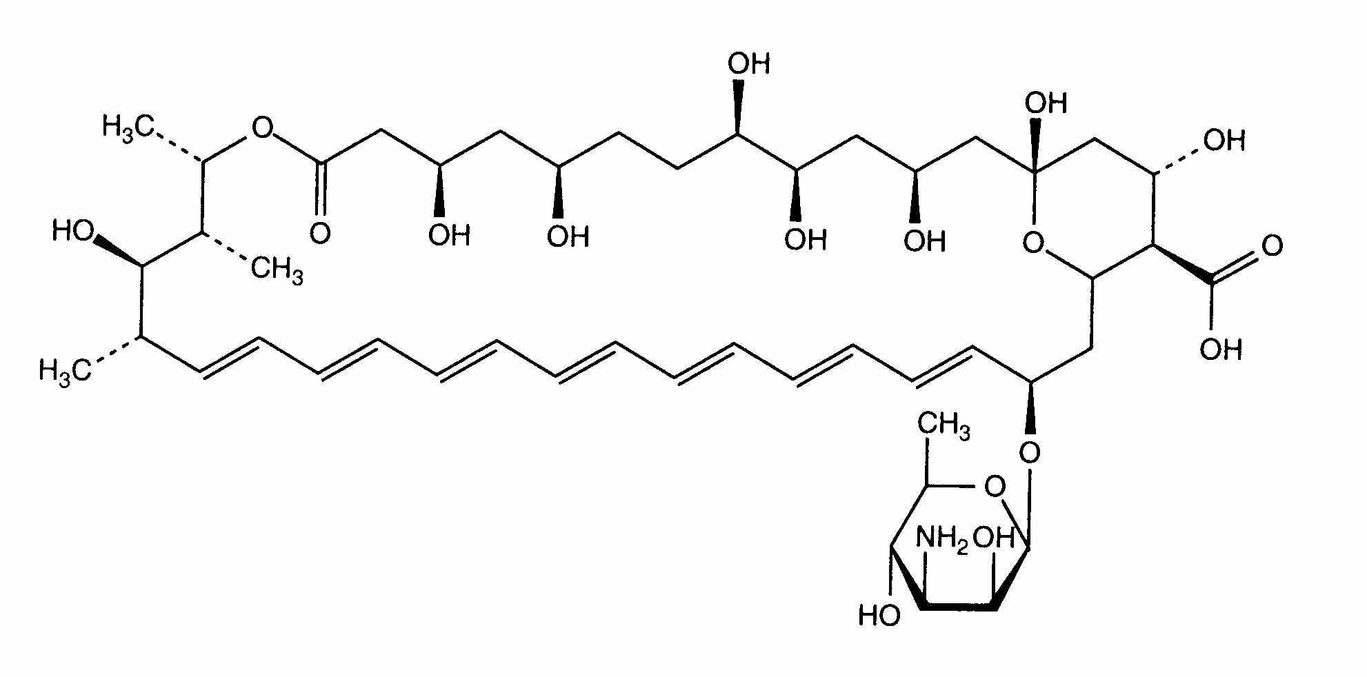
   Structure chimique  

Solution buvable
Bibliographie   Solution buvable   Bibliographie : Amphotericin B   
Type Source
2940 Revue Dentinger PJ, Swenson CF, Anaizi NH.
Stability of amphotericin B in an extemporaneously compounded oral suspension.
Am J Health-Syst Pharm 2001 ; 58: 1021-1024.
3685 Revue Pfeifer C, Noll S, Gerecke H, Fassauer G, Jira T, Remane Y , Vogel J, Frontini R, Reinhardt R.
A stability study of amphotericin B, colistin and tobramycin in a hydrophilic suspension commonly used for selective decontamination of the digestive tract by HPLC and in vitro potency measurements.
EJHP 2017 ; 24:4 : 235-241

  Mentions Légales