Letztes “update” :
27/04/2026
Antifungoid   Amphotericin B   
Lösung zum Einnehmen
Aerosol Augentropfen Injektion Mundspüllösung
Stabilität von pharmazeutischen Präparaten Gemengestabilität Stabilitätbeeinflussende Faktoren Kompatibilitäten Literaturverzeichnis pdf
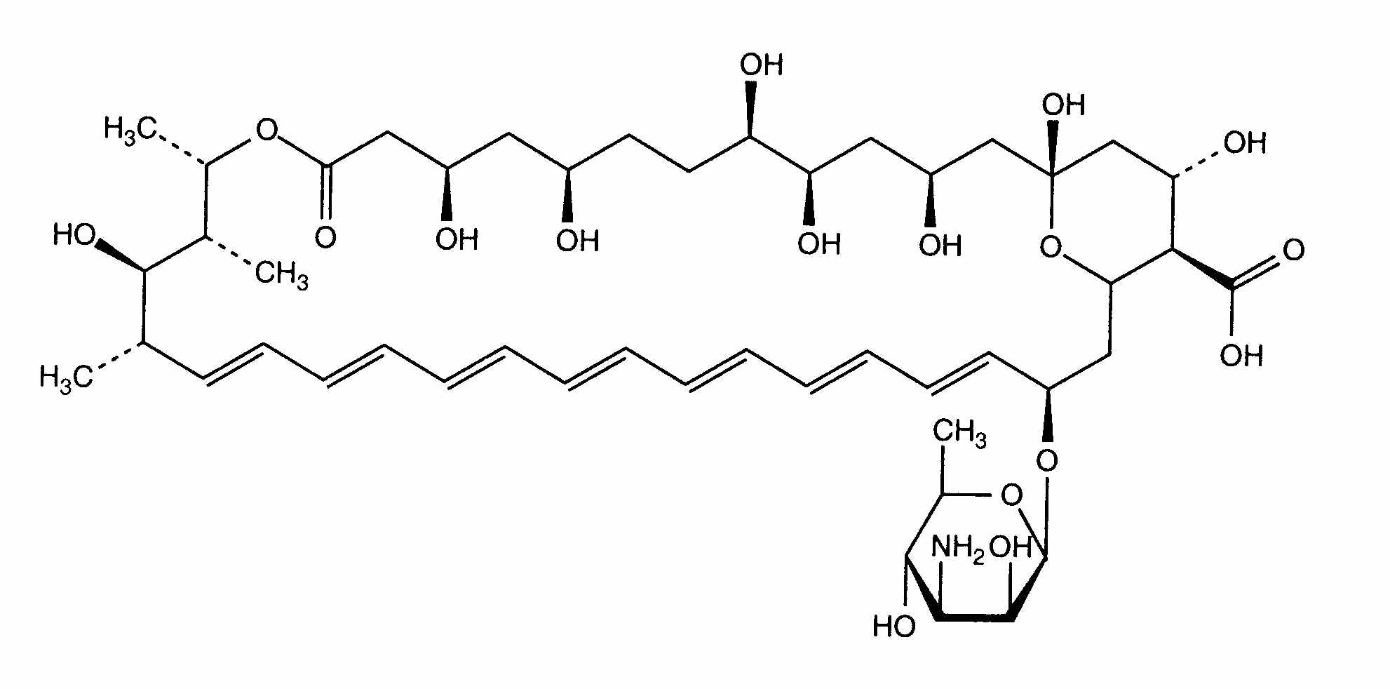
   Chemische Struktur  

Lösung zum Einnehmen
Literaturverzeichnis   Lösung zum Einnehmen   Literaturverzeichnis : Amphotericin B   
Typ Veröffentlichung
2940 Zeitung Dentinger PJ, Swenson CF, Anaizi NH.
Stability of amphotericin B in an extemporaneously compounded oral suspension.
Am J Health-Syst Pharm 2001 ; 58: 1021-1024.
3685 Zeitung Pfeifer C, Noll S, Gerecke H, Fassauer G, Jira T, Remane Y , Vogel J, Frontini R, Reinhardt R.
A stability study of amphotericin B, colistin and tobramycin in a hydrophilic suspension commonly used for selective decontamination of the digestive tract by HPLC and in vitro potency measurements.
EJHP 2017 ; 24:4 : 235-241

  Mentions Légales