Последнее обновление :
05/12/2025
Infostab
Списки
Списки
Поиск совместимостей
Таблица совместимостей в Y-соединении систем
Библиография
Исследовательские группы
valistab
плакат
связи
спонсоры
Автор
Инструкция по эксплуатации
Информационый бюллетень
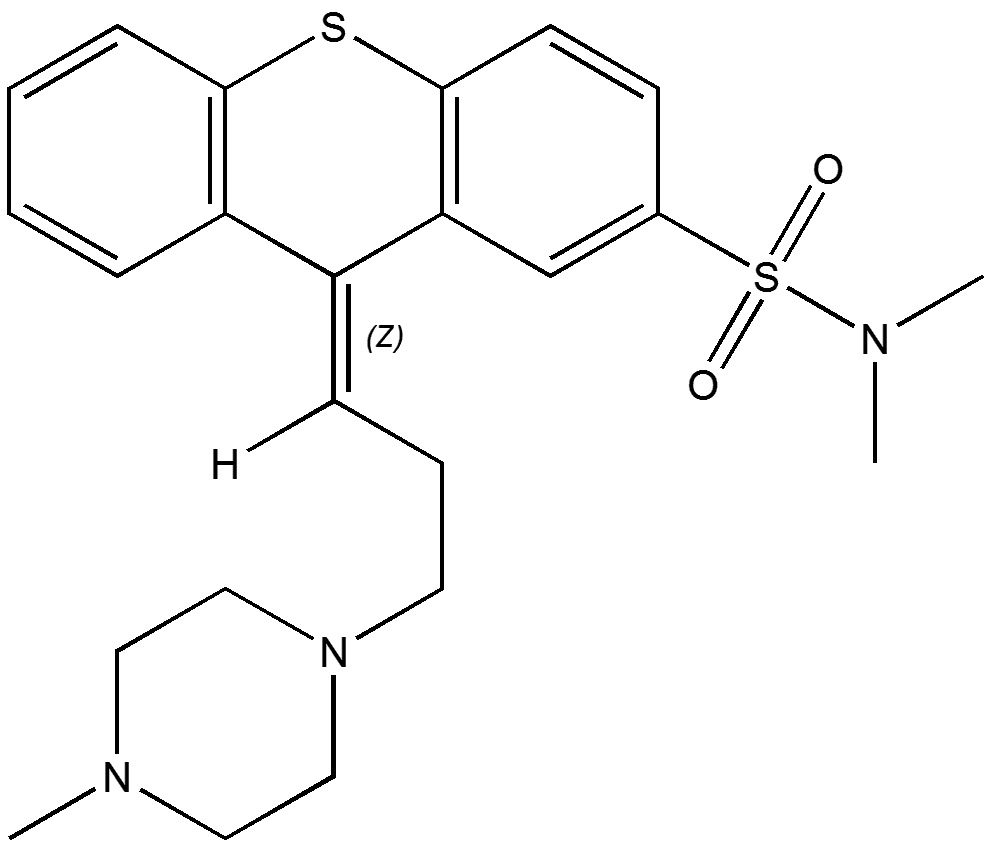
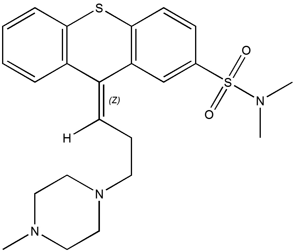
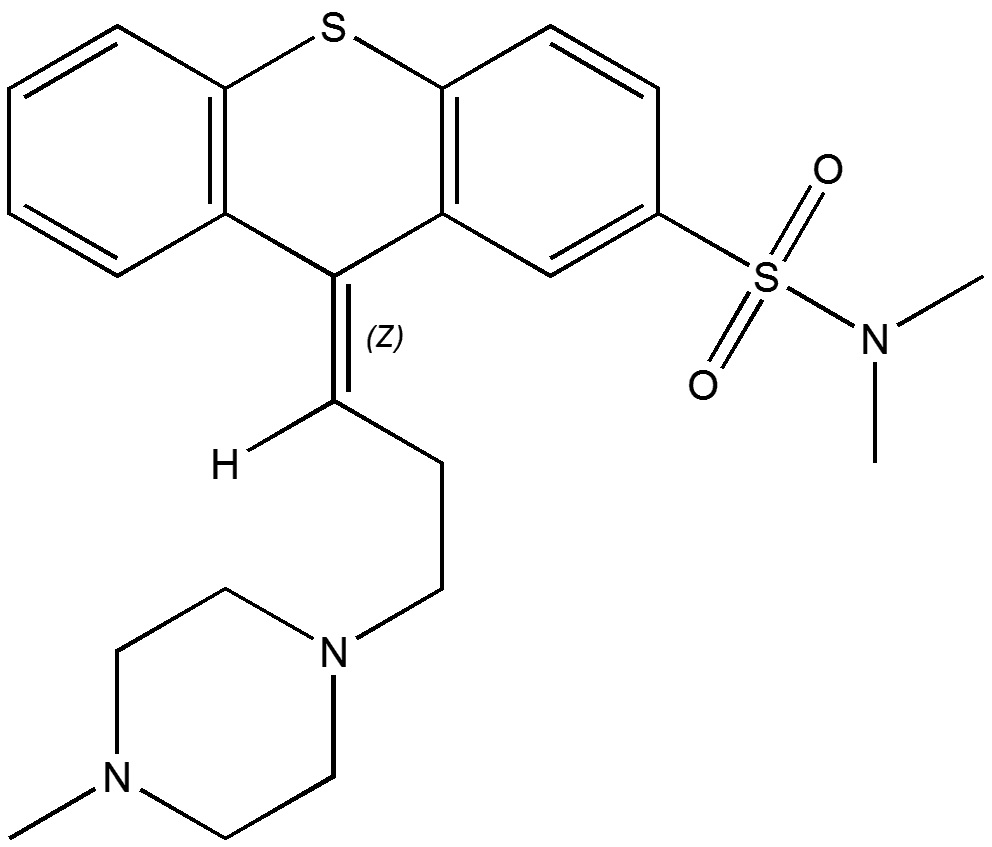
Thiothixene
Химическая структура
Стабильность фармацевтических препаратов : Thiothixene
данных нет
Mentions Légales