Останнє оновлення :
27/04/2026
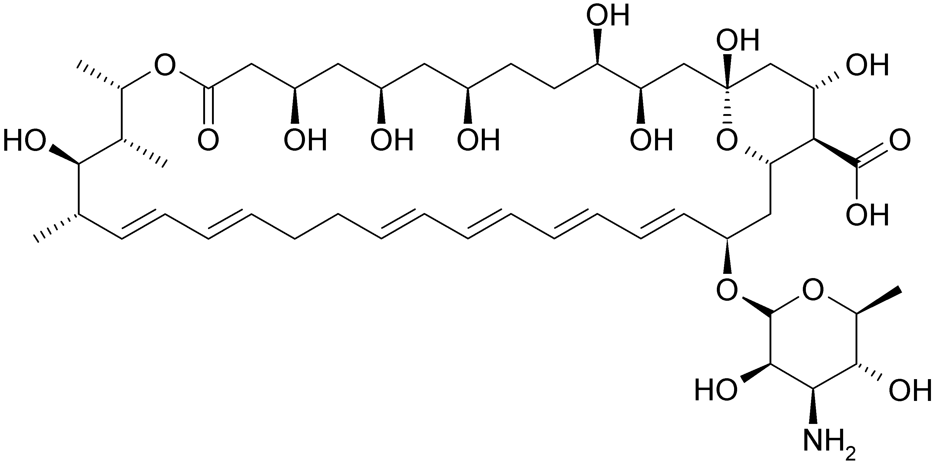
Протигрибковий   Nystatin  
Ополіскувач ротової порожнини
Стабільність фармацевтичних препаратів Стійкість сумішей Фактори, що впливають на стабільність Сумісність Список літератури pdf
   Хімічна структура  

Ополіскувач ротової порожнини
Список літератури   Ополіскувач ротової порожнини   Список літератури : Nystatin  
Тип Публікація
2729 журнал Vincent I, Schmit B, Houze S, benhaiem N, Jacques L, Taburet AM.
Bains de bouche antifongiques: études de stabilité.
J Pharm Clin 1995 ; 14, 2: 106-111.
2820 журнал Groeschke J, Solassol I, Bressolle F, Pinguet F.
Stability of amphotericin B and nystatin in antifungal mouthrinses containing sodium hydrogen carbonate
J Pharm Biomed Anal 2006 ; 42: 362-366.

  Mentions Légales