Seneste opdatering :
27/04/2026
Antisvampe   Nystatin  
Mundskyllevæske
Stabilitet af farmaceutiske tilberedninger Stabilitet i blandinger Faktorer der påvirker stabiliteten Kompatibilitet Bibliografi pdf
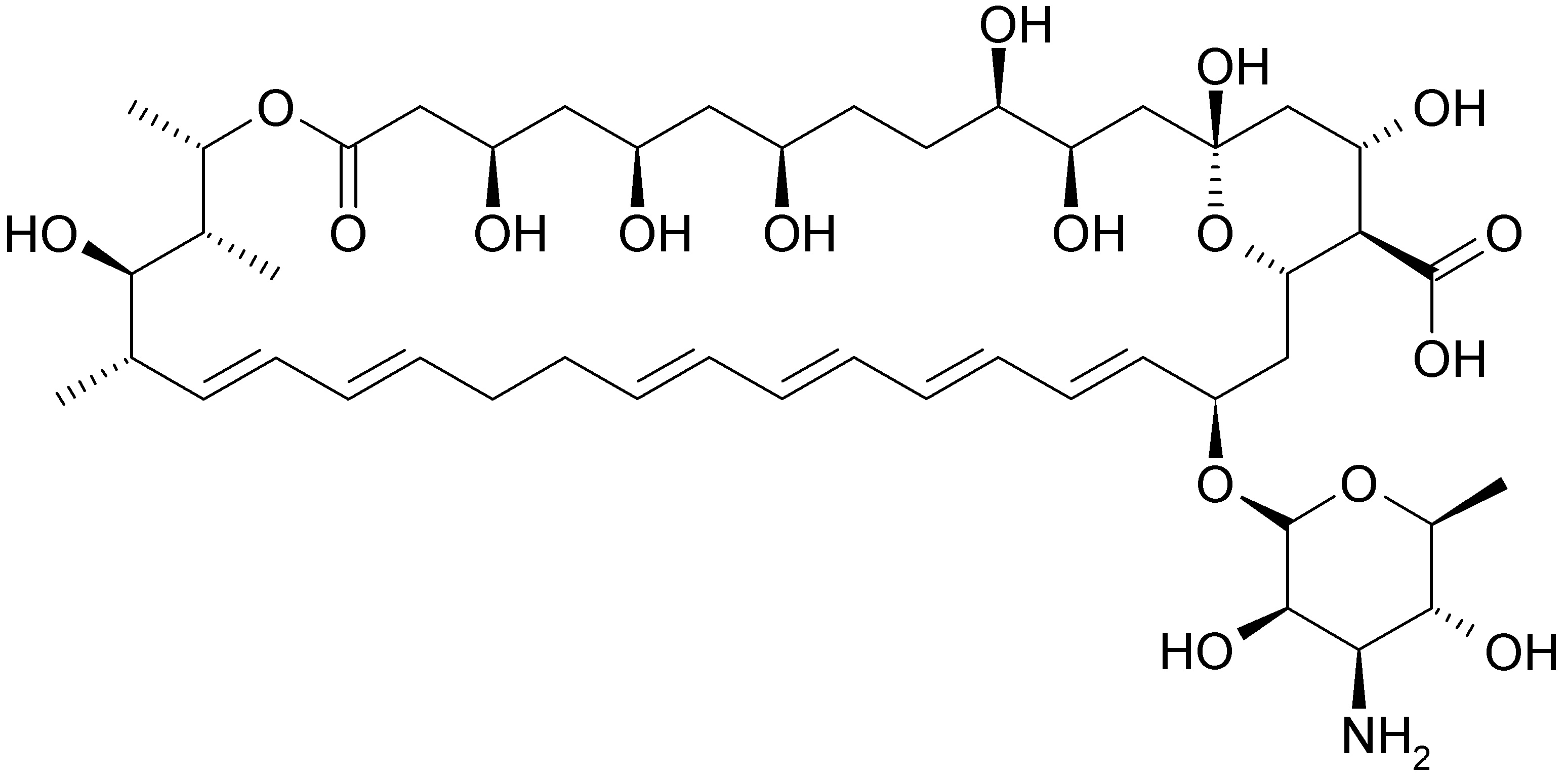
   Kemisk struktur  

Mundskyllevæske
Bibliografi   Mundskyllevæske   Bibliografi : Nystatin  
Type offentliggørelse
2729 Journal Vincent I, Schmit B, Houze S, benhaiem N, Jacques L, Taburet AM.
Bains de bouche antifongiques: études de stabilité.
J Pharm Clin 1995 ; 14, 2: 106-111.
2820 Journal Groeschke J, Solassol I, Bressolle F, Pinguet F.
Stability of amphotericin B and nystatin in antifungal mouthrinses containing sodium hydrogen carbonate
J Pharm Biomed Anal 2006 ; 42: 362-366.

  Mentions Légales