Последно актуализиране :
27/04/2026
Противогъбично средство   Nystatin  
Разтвор за уста
Стабилност на лекарствени препарати Стабилност на смеси Фактори, повлияващи стабилността Съвместимост Библиография Pdf
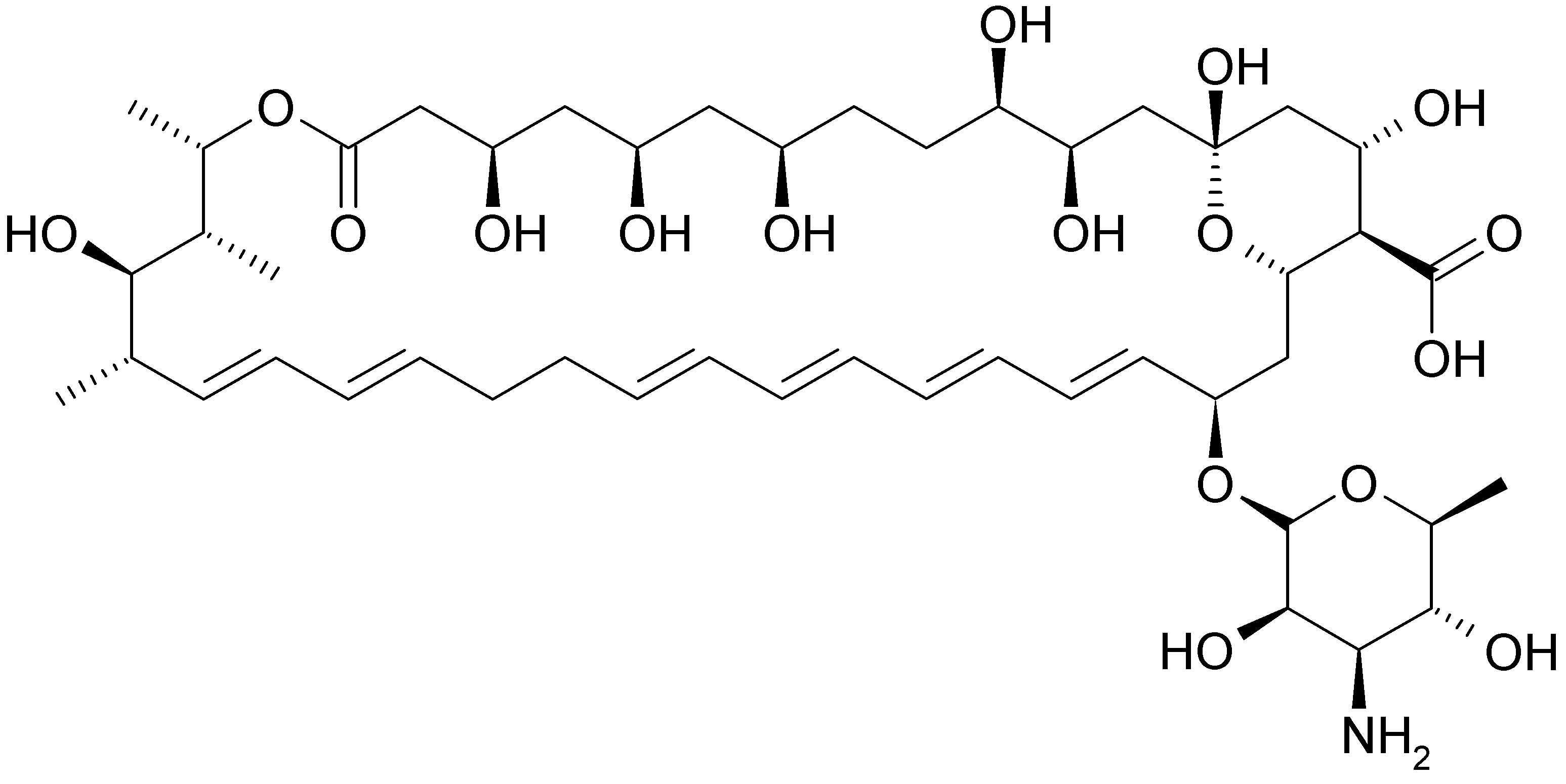
   Химична структура  

Разтвор за уста
Библиография   Разтвор за уста   Библиография : Nystatin  
Вид Публикация
2729 Списание Vincent I, Schmit B, Houze S, benhaiem N, Jacques L, Taburet AM.
Bains de bouche antifongiques: études de stabilité.
J Pharm Clin 1995 ; 14, 2: 106-111.
2820 Списание Groeschke J, Solassol I, Bressolle F, Pinguet F.
Stability of amphotericin B and nystatin in antifungal mouthrinses containing sodium hydrogen carbonate
J Pharm Biomed Anal 2006 ; 42: 362-366.

  Mentions Légales