Ultimele actualizari :
27/01/2026
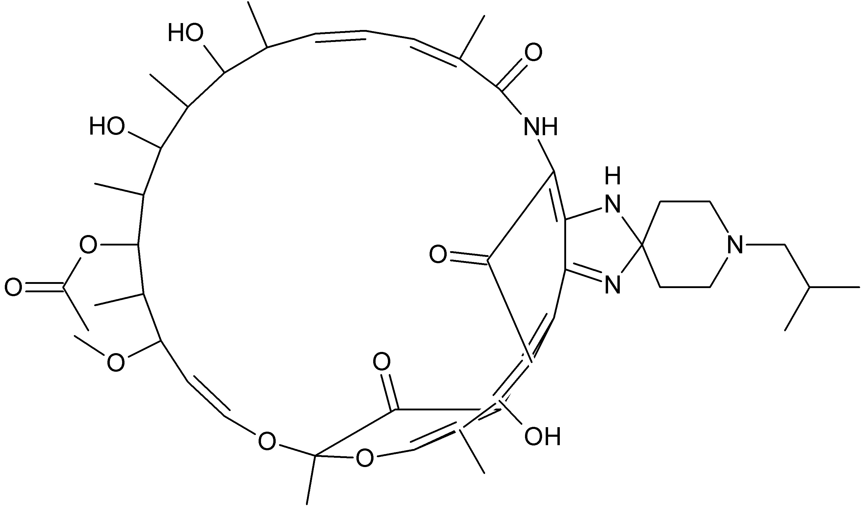
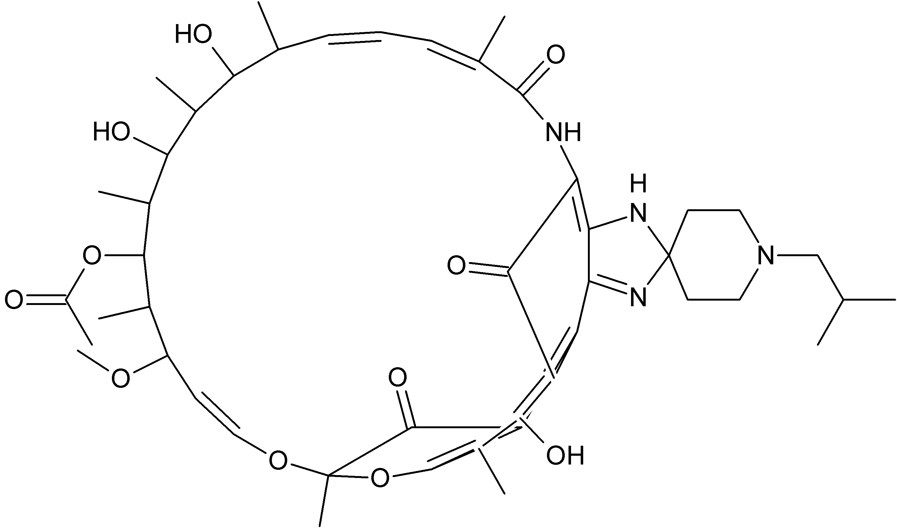
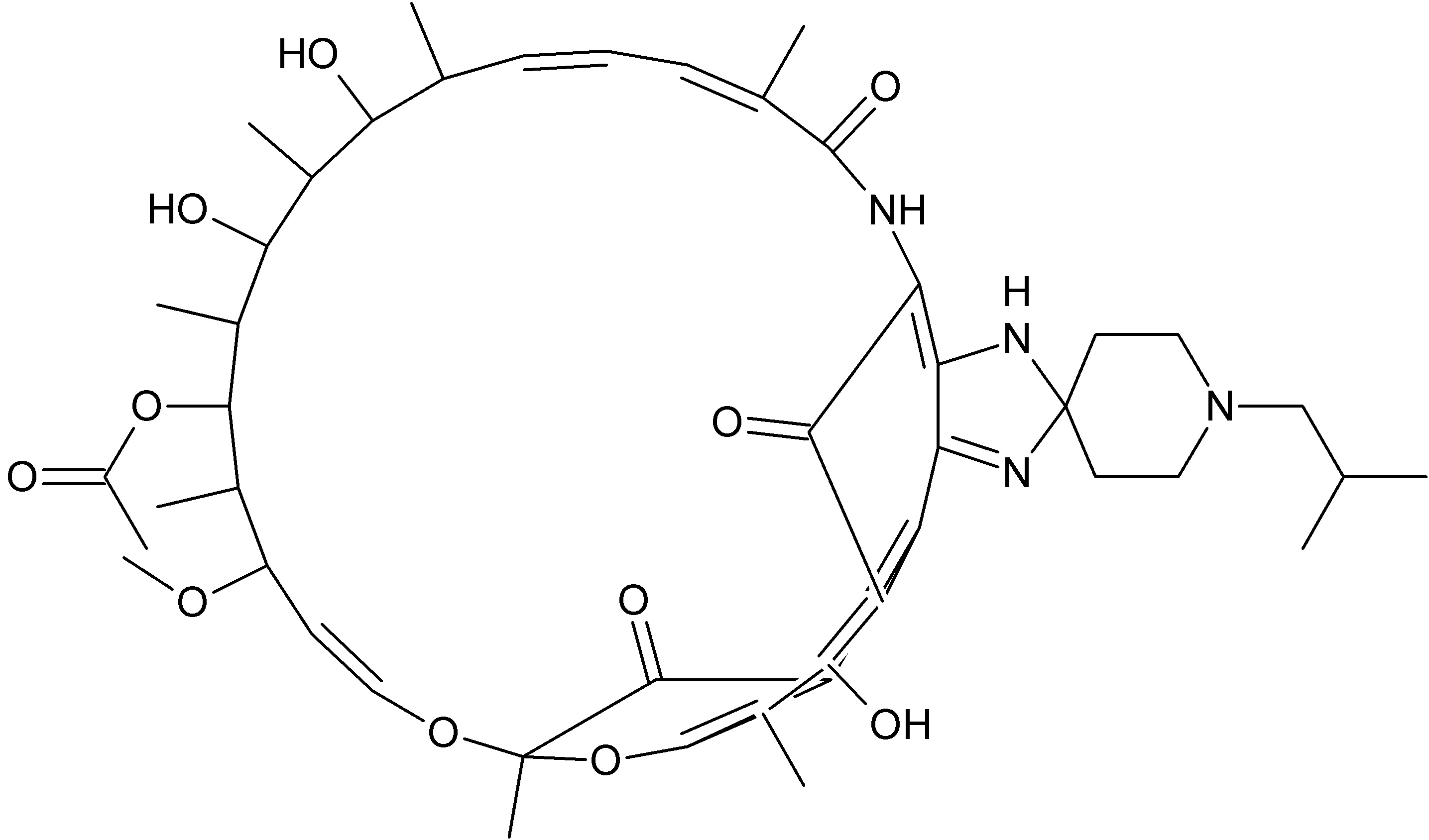
Antibiotic   Rifabutin  
Soluţie orală
Stabilitatea preparatelor farmaceutice Stabilitatea in amestec Factorii care influenteaza stabilitatea Compatibilitate Bibliografie pdf
   Formula chimica  

Soluţie orală
Stabilitatea in amestec   Soluţie orală   Stabilitatea in amestec : Rifabutin     
Absenta de date

  Mentions Légales