Zadnji put ažurirano :
27/01/2026
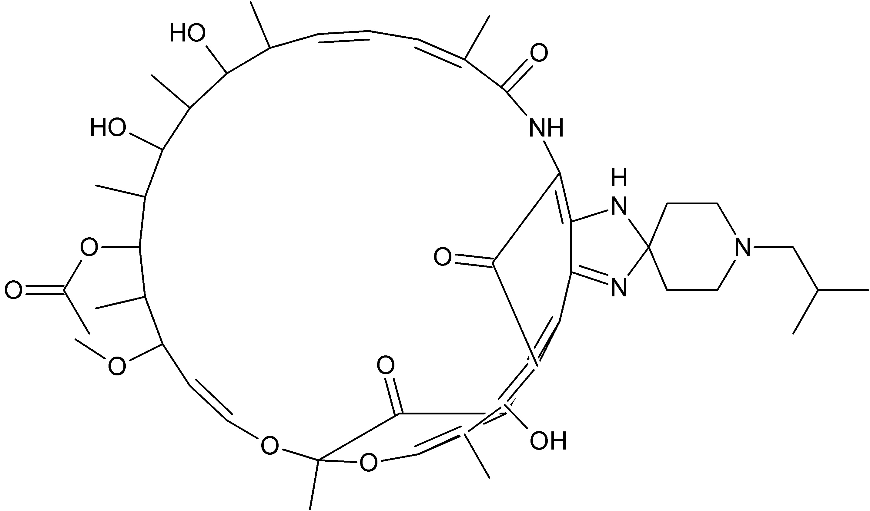
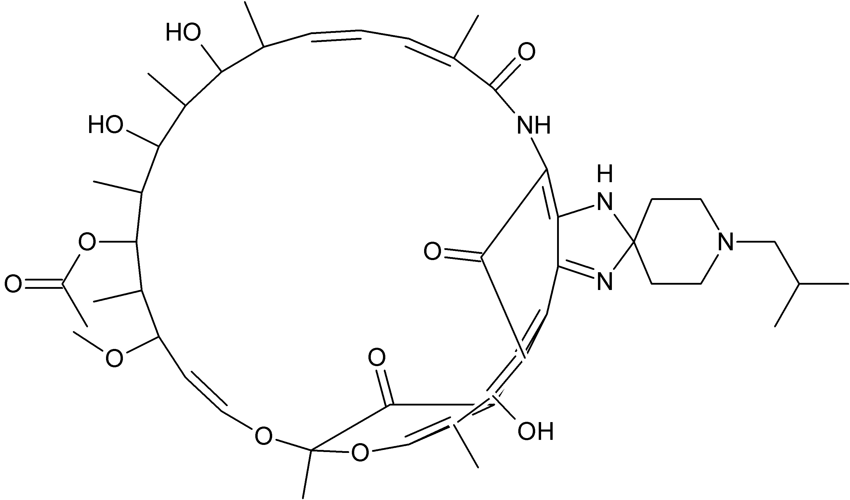
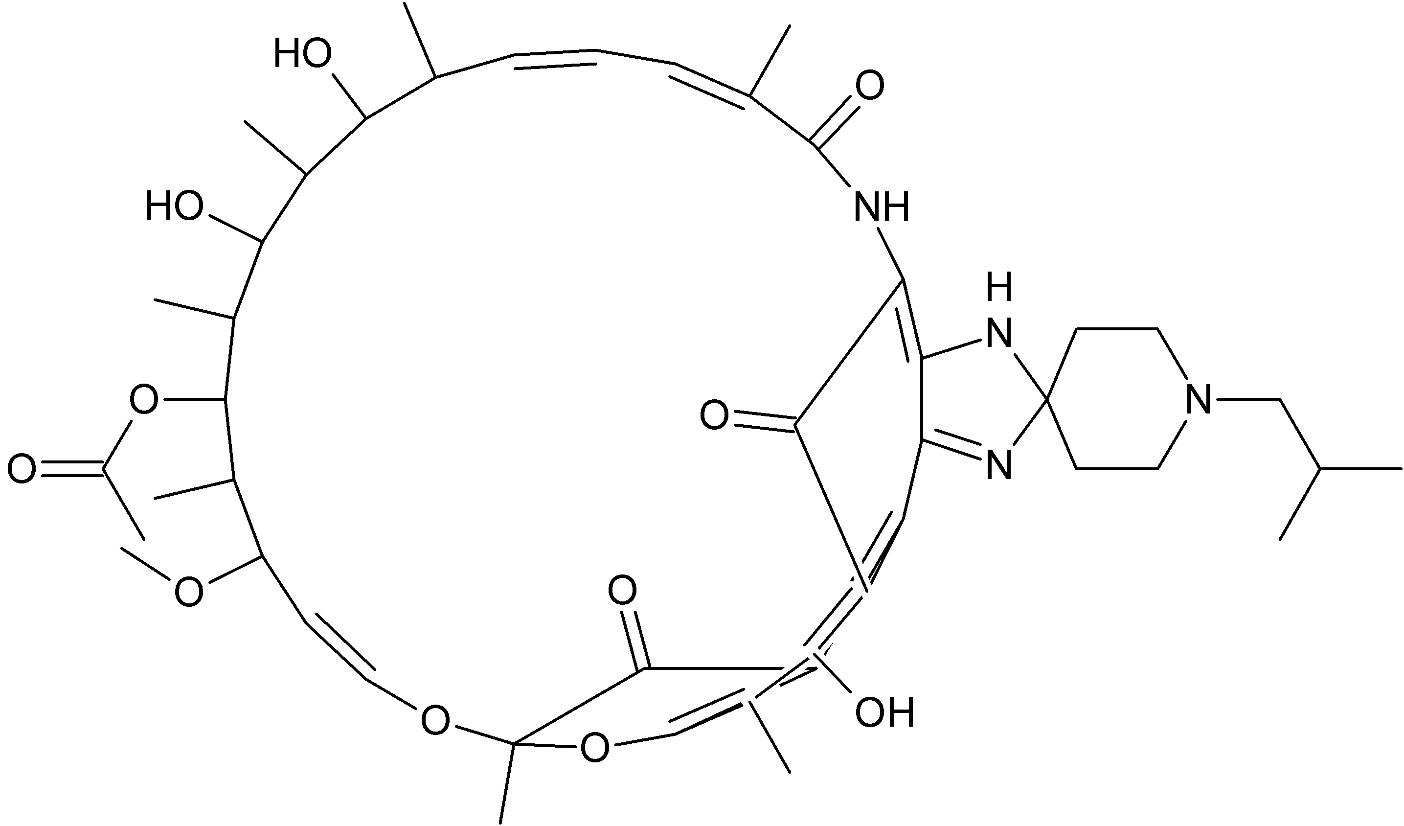
antibiotik   Rifabutin  
oralna otopina
Stabilnost farmaceutskih pripravaka Stabilnost mješavine Stabilizacijski faktor Kompatibilnosti Bibliografija pdf
   Kemijska struktura  

oralna otopina
Stabilnost mješavine   oralna otopina     Stabilnost mješavine : Rifabutin     
bez podataka

  Mentions Légales