Letztes “update” :
27/01/2026
Antibiotikum   Rifabutin  
Lösung zum Einnehmen
Stabilität von pharmazeutischen Präparaten Gemengestabilität Stabilitätbeeinflussende Faktoren Kompatibilitäten Literaturverzeichnis pdf
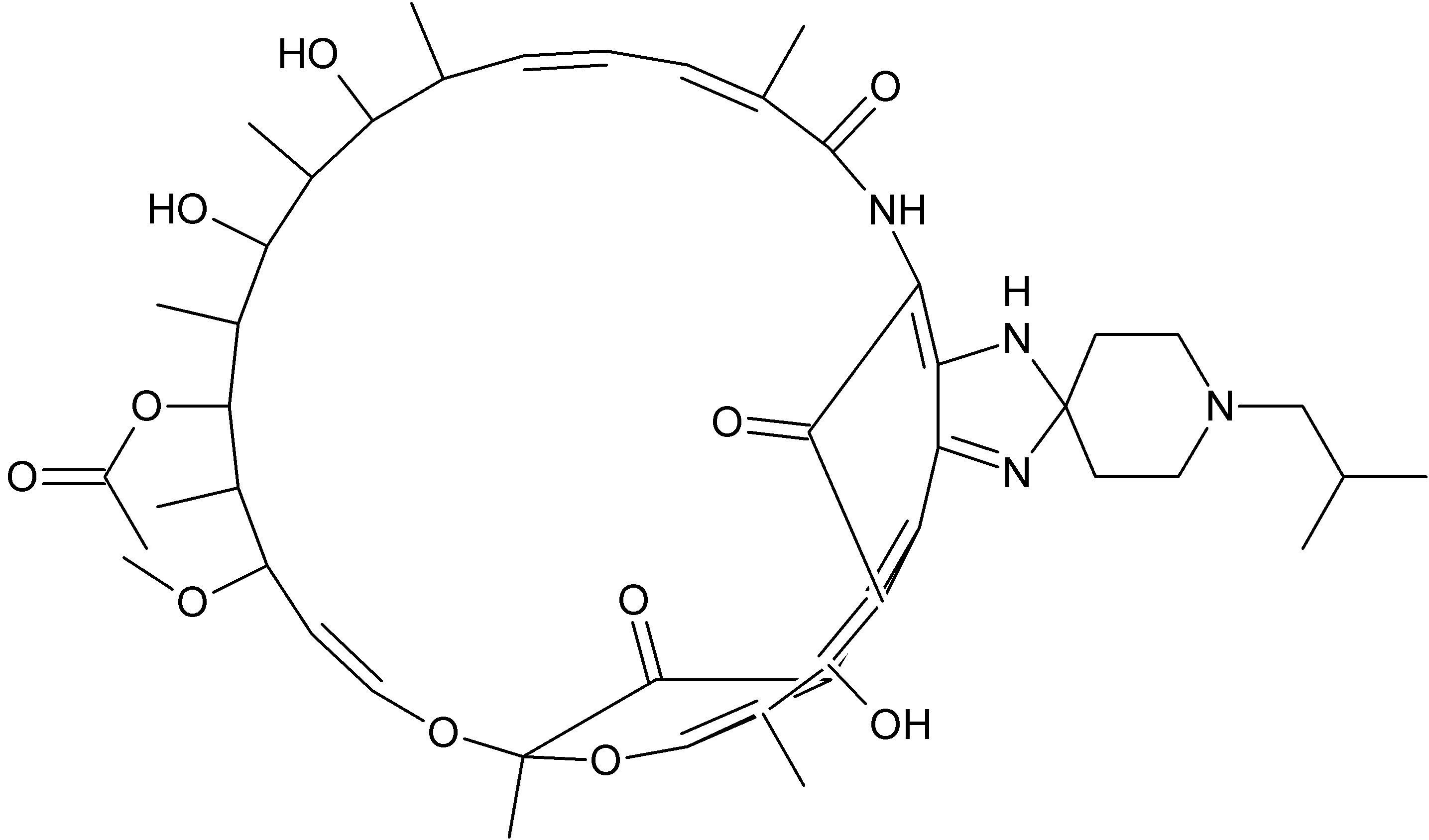
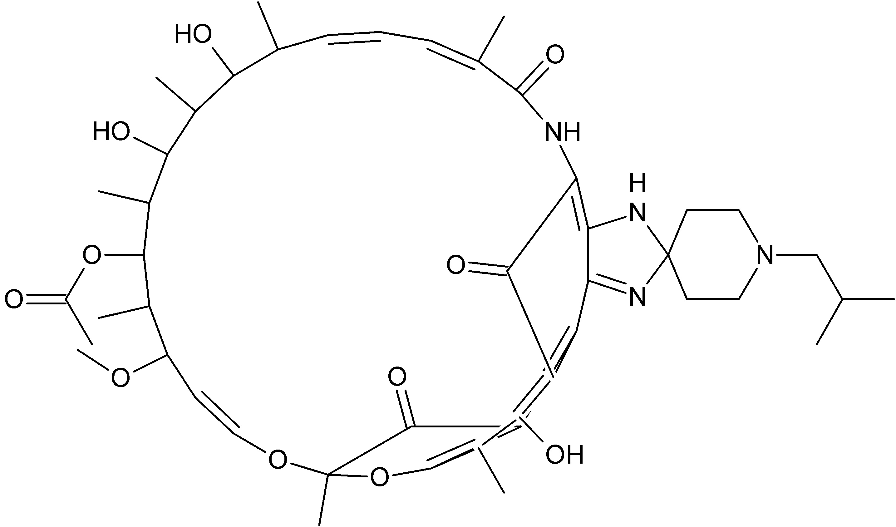
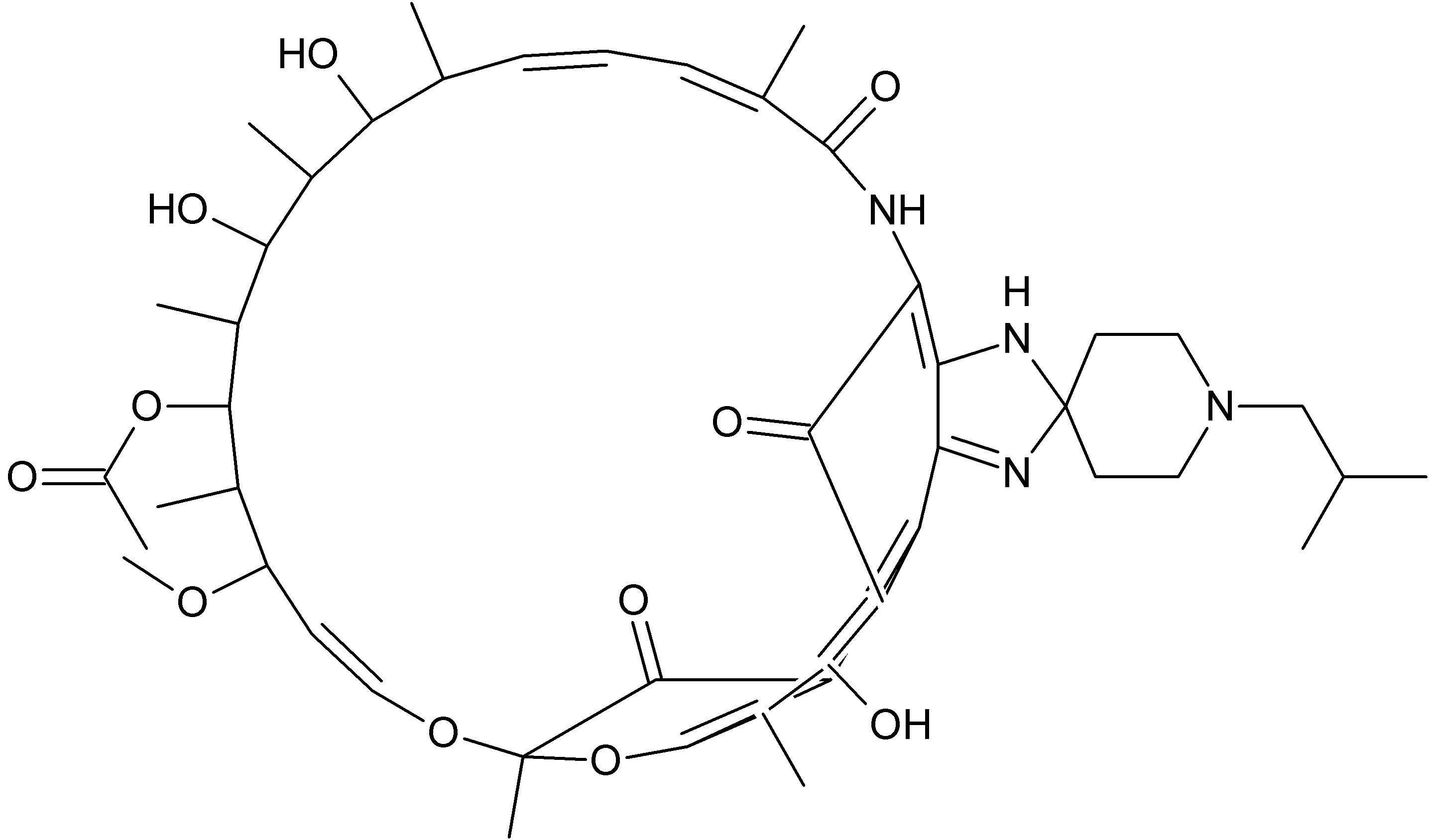
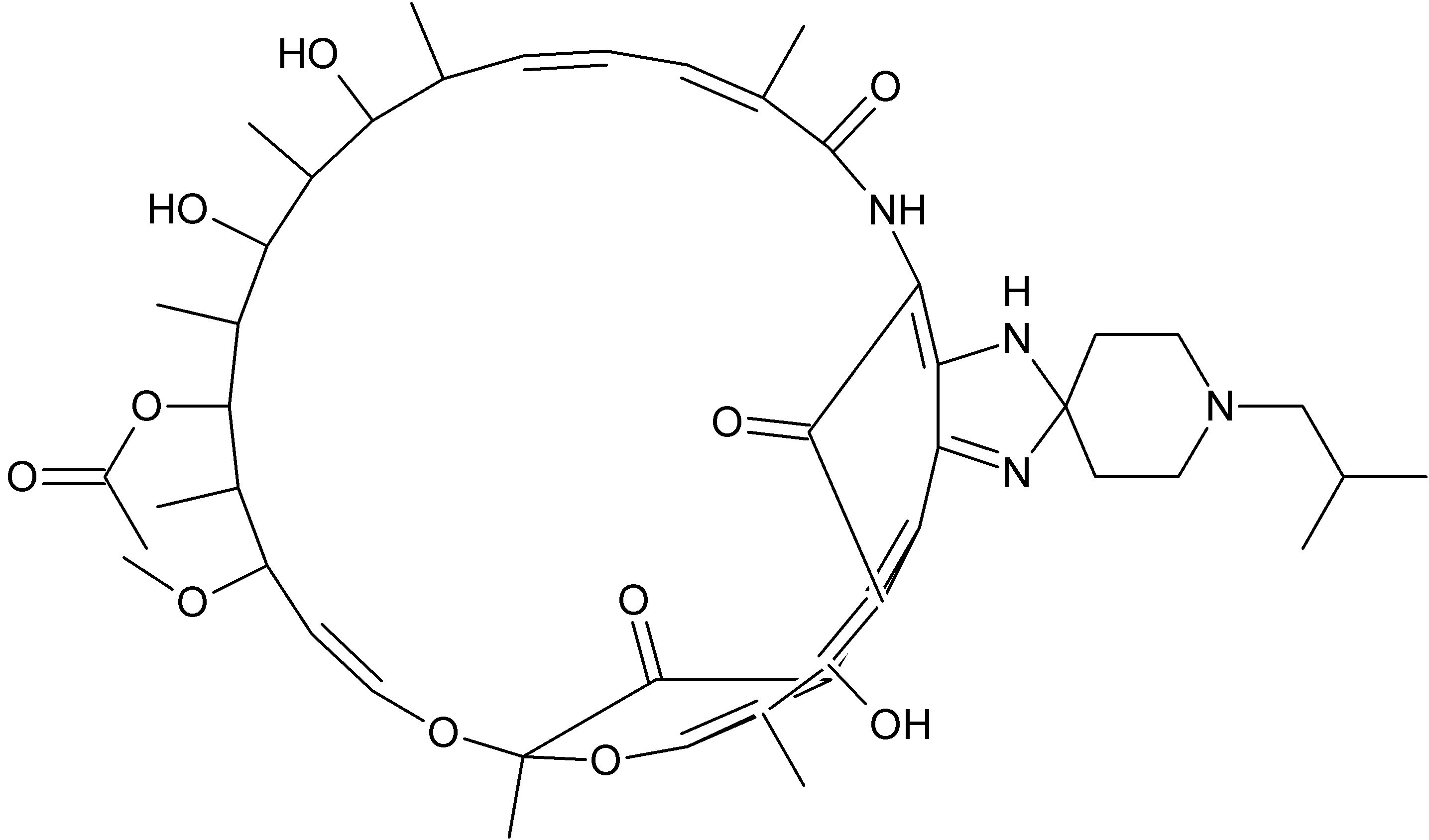
   Chemische Struktur  

Lösung zum Einnehmen
Gemengestabilität   Lösung zum Einnehmen   Gemengestabilität : Rifabutin     
Keine Daten

  Mentions Légales