آخر تحديث :
27/01/2026
مضاد حيوي   Rifabutin  
عن طريق الفم
استقرار المستحضرات الصيدلانية استقرار مخاليط العوامل التي تؤثر على الاستقرار التوافق مراجع pdf
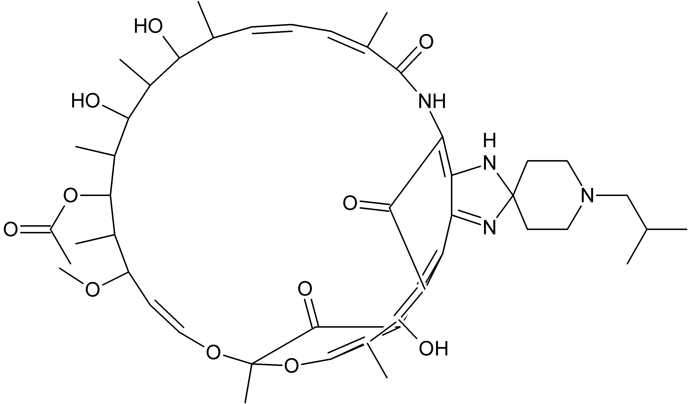
   التركيب الكيميائي  

عن طريق الفم
استقرار مخاليط   عن طريق الفم     استقرار مخاليط : Rifabutin     
لا توجد بيانات

  Mentions Légales