Последнее обновление :
27/01/2026
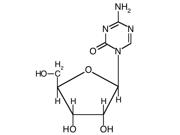
Цитостатическое средство   Azacitidine  
Инъекция
Стабильность растворов Стабильность смесей Факторы, которые влияют на стабильность Совместимость Способы введения Библиография pdf
   Химическая структура  

Товарное название   Товарное название     

Trade names are indicative and excipients composition can be different depending on the country and manufacturers

Amilix Аргентина
Arquimes Аргентина
Azacimyl чили
Azacitidina Аргентина, Перу, чили
Azacitidine Германия, Соединённые Штаты Америки
Azacor Перу
Azadin Турция
Azamex Аргентина
Azanova Аргентина
Azateva Аргентина
Azida Турция
Azitech Аргентина
Citofin Аргентина
Iclacitidina Перу
Iterbil Аргентина
Maturus Аргентина
Mietozitidina Аргентина, Перу
Nimodac Аргентина
Remitiva чили
Tazadir Аргентина
Vidaza Австралия, Аргентина, Бельгия, Бразилия, Великобритания, Венгрия, Германия, Исландия, Испания, Италия, Канада, Колумбия, Люксембург, Малайзия, Мексика, новая Зеландия, Норвегия, Перу, Румыния, Словения, Соединённые Штаты Америки, Тунис, Турция, Финляндия, Франция, Хорватия, чили, Швейцария, Швеция, Япония
Zacidonel Мексика
Zylatadina Аргентина
Способы введения   Способы введения :Azacitidine     
Voie
Интравенная, внутривенная инфузия
Подкожная инъекция

  Mentions Légales