Utolsó frissítés :
27/01/2026
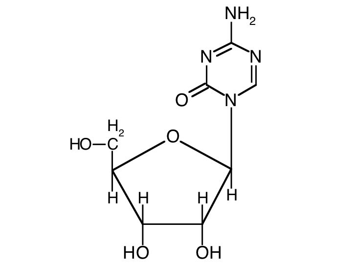
rákellenes gyógyszer   Azacitidine  
Injekció
Az oldatok stabilitása A keverékek stabilitása Stabilitást befolyásoló tényezők Kompatibilitás Az alkalmazás módja Irodalom pdf
   Kémiai szerkezet   

Kereskedelmi név   Kereskedelmi név     

A kereskedelmi név meghatározó jelentőségű: a készítmények összetétele országonként, előállítóként eltérő lehet

Amilix Argentína
Arquimes Argentína
Azacimyl Chile
Azacitidina Argentína, Chile, Peru
Azacitidine Amerikai Egyesült Államok, Németország
Azacor Peru
Azadin Törökország
Azamex Argentína
Azanova Argentína
Azateva Argentína
Azida Törökország
Azitech Argentína
Citofin Argentína
Iclacitidina Peru
Iterbil Argentína
Maturus Argentína
Mietozitidina Argentína, Peru
Nimodac Argentína
Remitiva Chile
Tazadir Argentína
Vidaza Amerikai Egyesült Államok, Argentína, Ausztrália, Belgium, Brazília, Chile, Colombia, Finnország, Franciaország, Horvátország, Izland, Japán, Kanada, Luxemburg, Magyarország, Malaysia, Mexikó, Nagy-Britannia, Németország, Norvégia, Olaszország, Peru, Románia, Spanyolország, Svájc, Svédország, Szlovénia, Törökország, Tunézia, új-Zéland
Zacidonel Mexikó
Zylatadina Argentína
Az alkalmazás módja   Az alkalmazás módja :Azacitidine     
Voie
Intravénás infúzió
Szubkután

  Mentions Légales