Последно актуализиране :
27/04/2026
Антибиотик   Colistin mesilate sodium  
Инжекция/Инжекционен
Аерозол
Стабилност на разтвори Стабилност на смеси Фактори, повлияващи стабилността Съвместимост Път на въвеждане Библиография Pdf
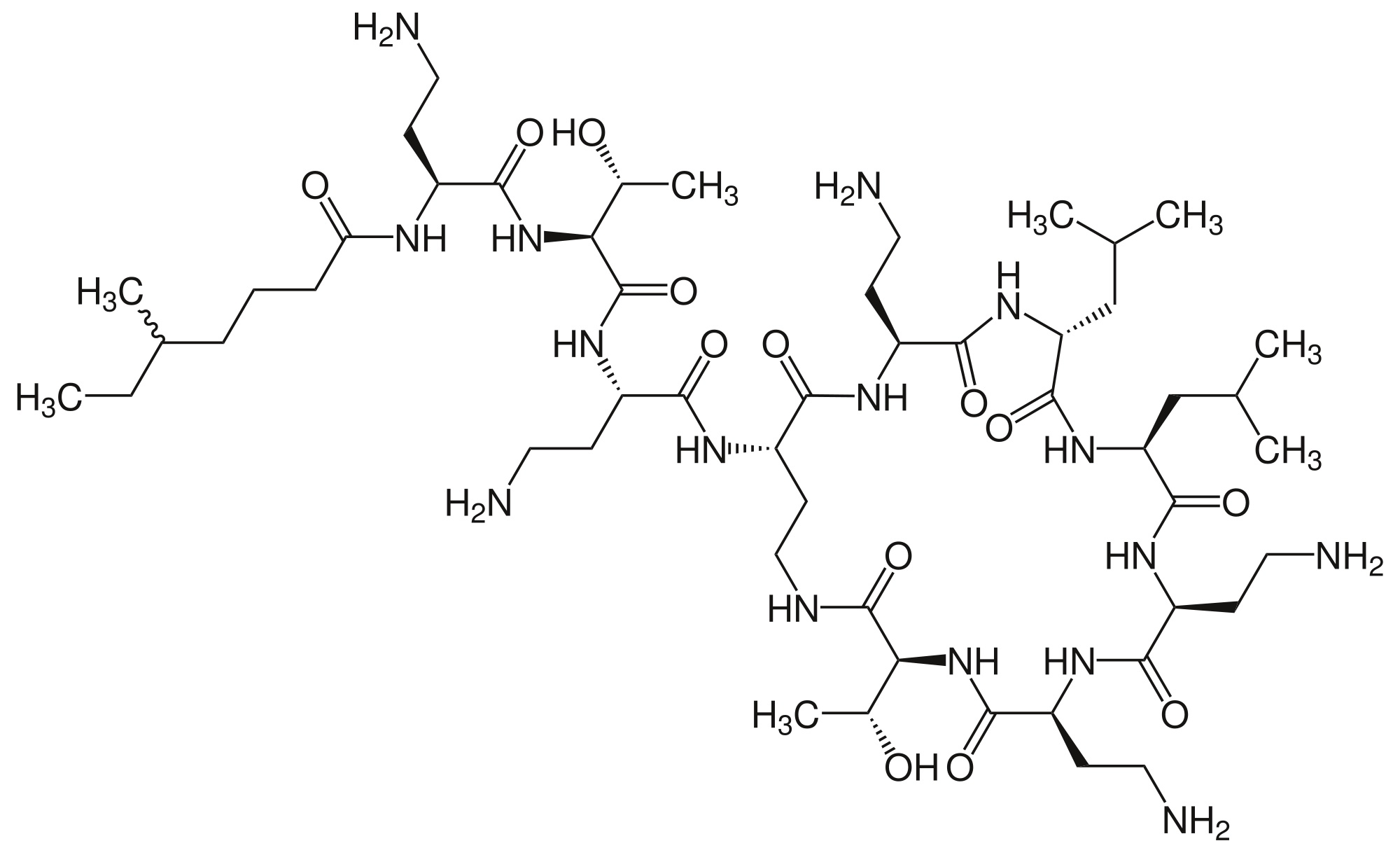
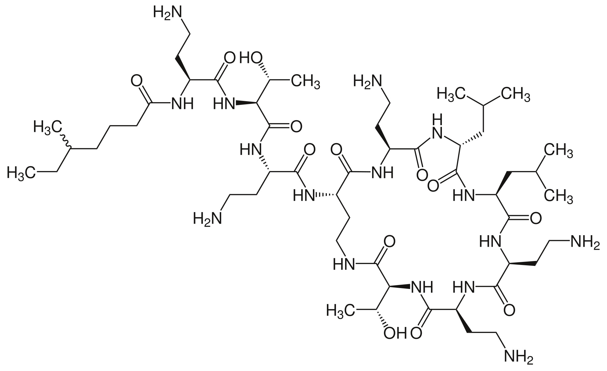
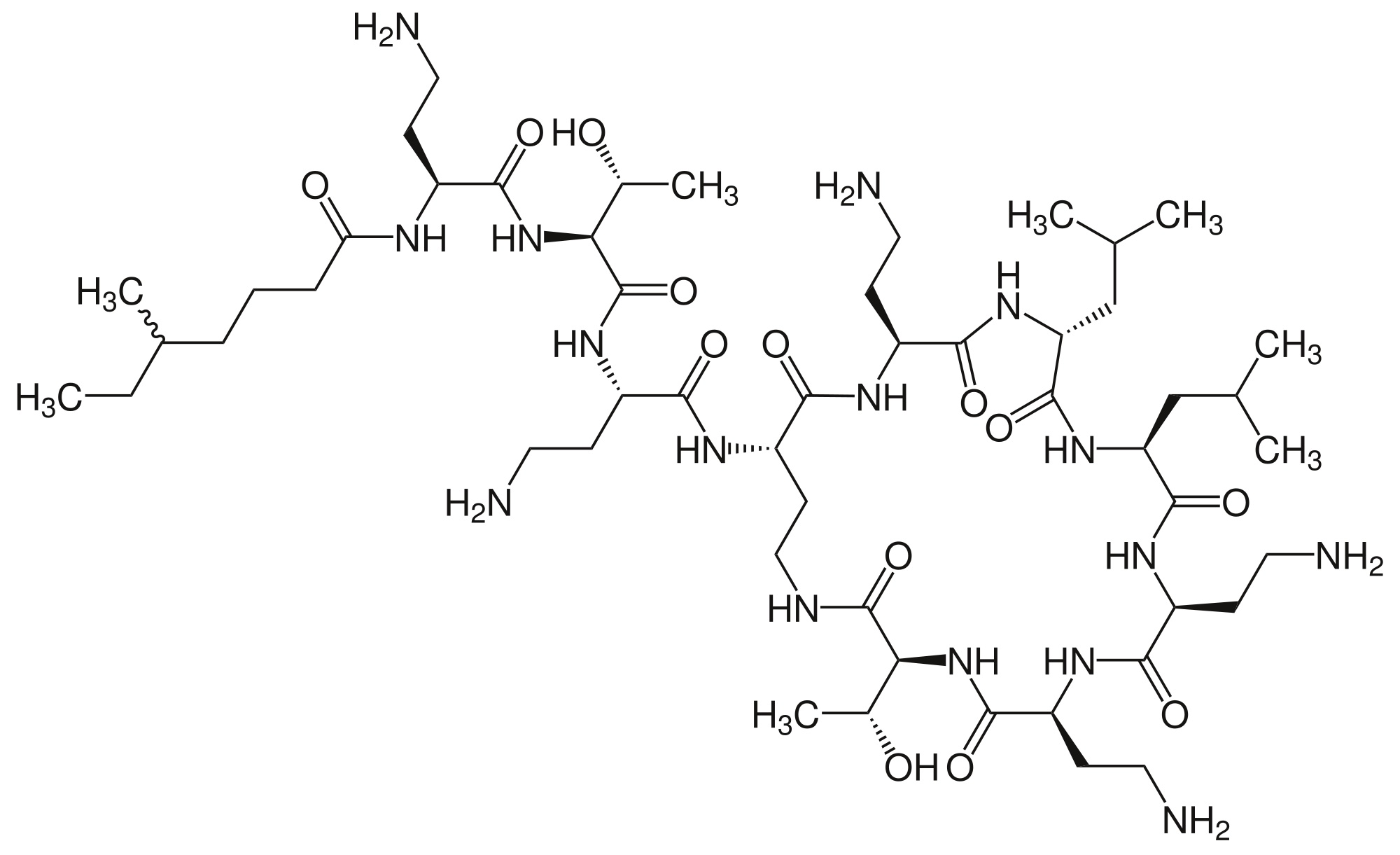
   Химична структура  

Търговско наименование   Търговско наименование     

Търговските имена са примерни и съставът на помощните вещества може да бъде различен в зависимост от държавата и лабораториите

Alficetin Аржентина
Colimicina Италия
Colimycin Дания, Норвегия, Турция
Colimycine Люксенбург, Мароко, Тунис, Франция, Холандия
Colismet Перу
Colistimethate Великобритания, Канада, Съединени Американски щати / САЩ, Франция
Colistin Австрия, Германия, Гърция, нова Зеландия, Полша
Colistina Аржентина, Португалия, Чили
Colistineb Белгия
Colistyn Аржентина
Colixin Словения
Colomycin Великобритания, Ирландия, Канада, Малайзия, Съединени Американски щати / САЩ
Dicupal Чили
Elistin Перу
Kolisod Турция
Nolisin
Promixin Великобритания, Германия, Ирландия, Норвегия
Toliscrin Аржентина
Библиография   Инжекция/Инжекционен   Библиография : Colistin mesilate sodium  
Вид Публикация
1201 Списание Yuhas EM, Lofton FT, Rosenberg HA, Mayron D, Baldinus JG.
Cimetidine hydrochloride compatibility III: Room temperature stability in drug admixtures.
Am J Hosp Pharm 1981 ; 38: 1919-1922.
2285 Списание Wallace SJ, Li J, Rayner CR, Coulthard K, Nation RL.
Stability of colistin methanesulfonate in pharmaceutical products and solutions for administration to patients.
Antimicrob Agents Chemother 2008 ; 52, 9: 3047-3051.
2550 Списание Roberts GW, Rossi S.O.P.
Compatibility of nebulizer solutions
Aust J Hosp Pharm 1993 ; 23: 35-37.
2783 Списание Abdulla A,.van Leeuwen R.W.F, de Vries Schultink A.H.M,.Koch B.C.P.
Stability of colistimethate sodium in a disposable elastomeric infusion device.
Int J Pharm 2015 ; 486; 1-2: 367-369.
3254 Списание Housman S.T, Tessier P.R, Nicolau D.P, Kuti J.L.
Physical compatibility of telavancin hydrochloride with select i.v. drugs during simulated Y-site administration
Am J Health-Syst Pharm 2011 ; 68: 2265-2270.
3360 Списание Healan A. M, Gray W, Fuchs E.J, Griffiss J.M, Salata R.A, Blumer J.
Stability of Colistimethate Sodium in Aqueous Solution.
Antimicrob Agents Chemother 2012 ; 56:6432-6433.
3674 Лаборатория Erythromycin lactobionate - Summary of Product Characteristics
PanPharma 2016
3827 Плакат Ghazi I.M, Hamada Y, Nicolau D.P.
Compatibility of tedizolid phosphate with selected intravenous drugs via simulated Y-site conditions.
ASHP Midyear 2015
3828 Плакат Thabit A.K, Hamada Y, Nicolau D.P.
Ceftozolane/tazobactam physical compatibility during simulated Y-site administration.
ASHP Midyear 2015
3829 Плакат So W, Kim L, Thabit A.K, Nicolau D.P, Kuti J.L.
Compatibility of isavunazonium sulfate during simulated Y-site administration.
ASHP Midyear 2015
3997 Списание Katip W.
Visual compatibility of colistin injection with other antibiotics during simulated Y-site administration.
Am J Health-Syst Pharm 2017 ; 74:14 : 1099-1102
4055 Списание Monogue M, Almarzoky Abuhussain S, Kuti J, Nicolau D.
Physical compatibility of fosfomycin for injection with select i.v. drugs during simulated Y-site administration.
Am J Health-Syst Pharm 2018 , 75, 1:36-44
4145 Списание Asempa T.E, Avery L.M, Kidd J.M, Kuti J.L, Nicolau D.P.
Physical compatibility of plazomicin with select i.v. drugs during simulated Y-site administration.
Am J Health-Syst Pharm 2018 ;75,14:1048-1056
4178 Списание Post T.E, Kamerling I, van Rossen R, Burggraaf J, Stevens J, Dijkmans A, Heijerman H, Touw D, van Velzen A, Wilms E.
Colistin methanesulfonate infusion solutions are stable over time and suitable for home administration.
EJHP 2017 ; 25, e2
4319 Списание Lessard J-J, Caron E, Schérer H, Forest J-M, Leclair G.
Compatibility of Y-site Injection of Meropenem Trihydrate With 101 Other Injectable Drugs.
Hosp Pharm 2020 ; 55, 5: 332-337.
4434 Списание Avery L.M, Chen, I.H, Reyes, S, Nicolau, D.P, Kuti J.L.
Assessment of the Physical Compatibility of Eravacycline and Common Parenteral Drugs During Simulated Y-site Administration.
Clin Ther 2019 ; 41, 10: 2162-2170.
4438 Списание Stawny M, Gostyńska A, Nadolna M, Jelińska A.
Safe Practice of Y-Site Drug Administration: The Case of Colistin and Parenteral Nutrition
Pharmaceutics 2020 ; 12: 292
4528 Списание Lu J, Liu Q, Kupiec T, Vail H, Lunch L, Fam D, Vu N.
Physical Compatibility of Cefiderocol with Selected Intravenous Drugs During Simulated Y-site Administration.
Int J Pharm Compound 2021 ;25,1:52-61
4801 Списание Ruiz V, Yuwei Shen Y, Abouelhassan Y, Fouad A, Nicolau D, Kuti J.
Physical compatibility of sulbactam/durlobactam with select intravenous drugs during simulated Y-site administration.
Am J Health-Syst Pharm 2024 ;51,1:
4855 Списание Dettlaff K, Kowalska A, Gostyńska A.
Physical compatibility of colistin with analgesics during simulated Y-site administration.
Am J Hosp Pharm 2024 ;81,13:365-371
4975 Лаборатория Colomycin 1 million International Units (IU) Powder for solution for injection, infusion orinhalation Summary of Product Characteristics Updated 12-Jul-2023.
Teva UK Limited 2023

  Mentions Légales