zadnja posodobitev :
27/01/2026
Splo_ni anestetik   Amobarbital sodium  
Brizgalka
Stabilnost raztopine Stabilnost mešanice Faktorji, ki vplivajo na stabilnost Kompatibilnost način aplikacije Viri pdf
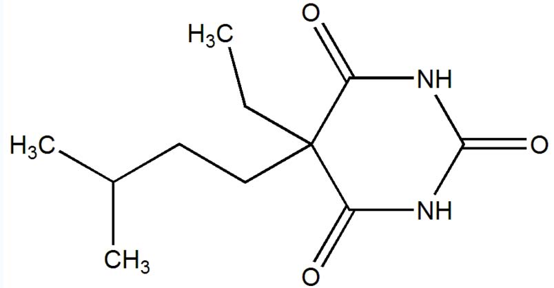
   Kemična formula  

Lastniško ime   Lastniško ime     

Sestava pomožnih snovi je med paralelami lahko različna

Amytal Sodium Združene države Amerike
Stabilnost mešanice   Brizgalka   Stabilnost mešanice : Amobarbital sodium     
ni podatka

  Mentions Légales