Laatste update :
27/01/2026
Anestheticum   Amobarbital sodium  
injecteerbaar geneesmiddel
Stabiliteit in oplossing Stabiliteit in mengsels Factoren die de stabiliteit beïnvloeden Verenigbaarheden Toedieningswijze Literatuur pdf
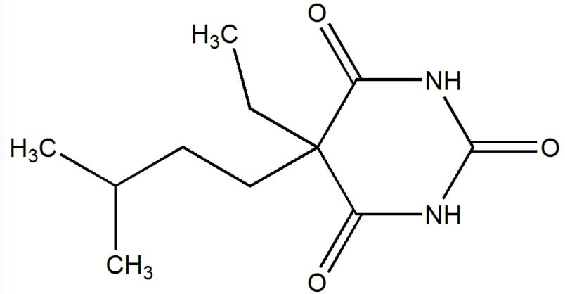
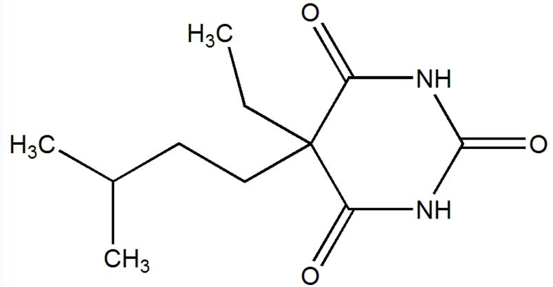
   Molecuulstructuur  

Merknamen in verschillende landen   Merknamen in verschillende landen     

Handelsnamen zijn slechts een indicatie; de samenstelling van hulpstoffen kan per land variëren afhankelijk van de fabrikant

Amytal Sodium USA
Stabiliteit in mengsels   injecteerbaar geneesmiddel   Stabiliteit in mengsels : Amobarbital sodium     
geen gegevens

  Mentions Légales