Τελευταία ενημέρωση :
27/01/2026
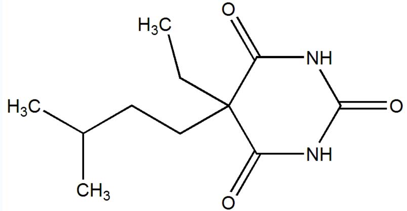
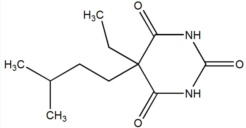
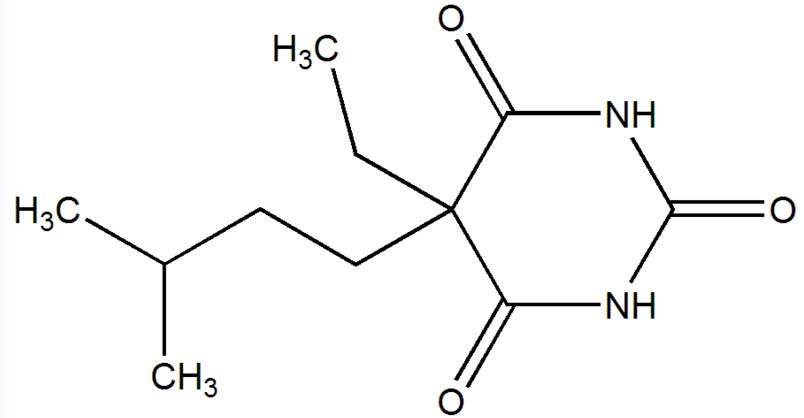
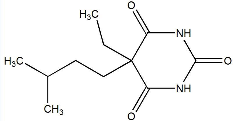
Γενικό αναισθητικό   Amobarbital sodium  
Ενέσιμο
Σταθερότητα διαλυμάτων Σταθερότητα σε μίγματα Παράγοντας που επηρεάζει τη σταθερότητα Συμβατότητες Τρόπος χορήγησης Βιβλιογραφία pdf
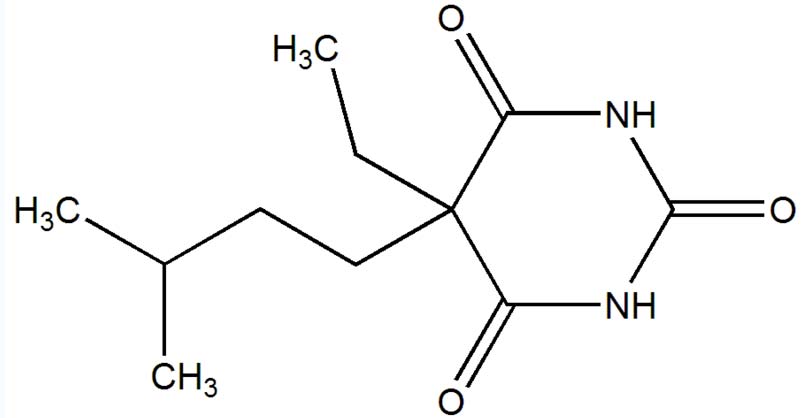
   χημική δομή  

Εμπορική ονομασία   Εμπορική ονομασία     

Οι εμπορικές ονομασίες είναι ενδεικτικές και η σύνθεση των εκδόχων μπορεί να διαφέρει ανάλογα με τη χώρα και τα εργαστήρια

Amytal Sodium Η.Π.Α.
Σταθερότητα σε μίγματα   Ενέσιμο   Σταθερότητα σε μίγματα : Amobarbital sodium     
Δεν υπάρχουν πληροφορίες

  Mentions Légales